各位家长:
上午场面试顺序号见附件,每位考生面试时间为8分钟(不含5分钟候考时间,候考在前一位考生面试期间进行),面试结束即可离场,测试结束后从学校北一门出校(和进校同一个地点),家长在北一门附近等候。其中01号考生8:10分左右正式面试。
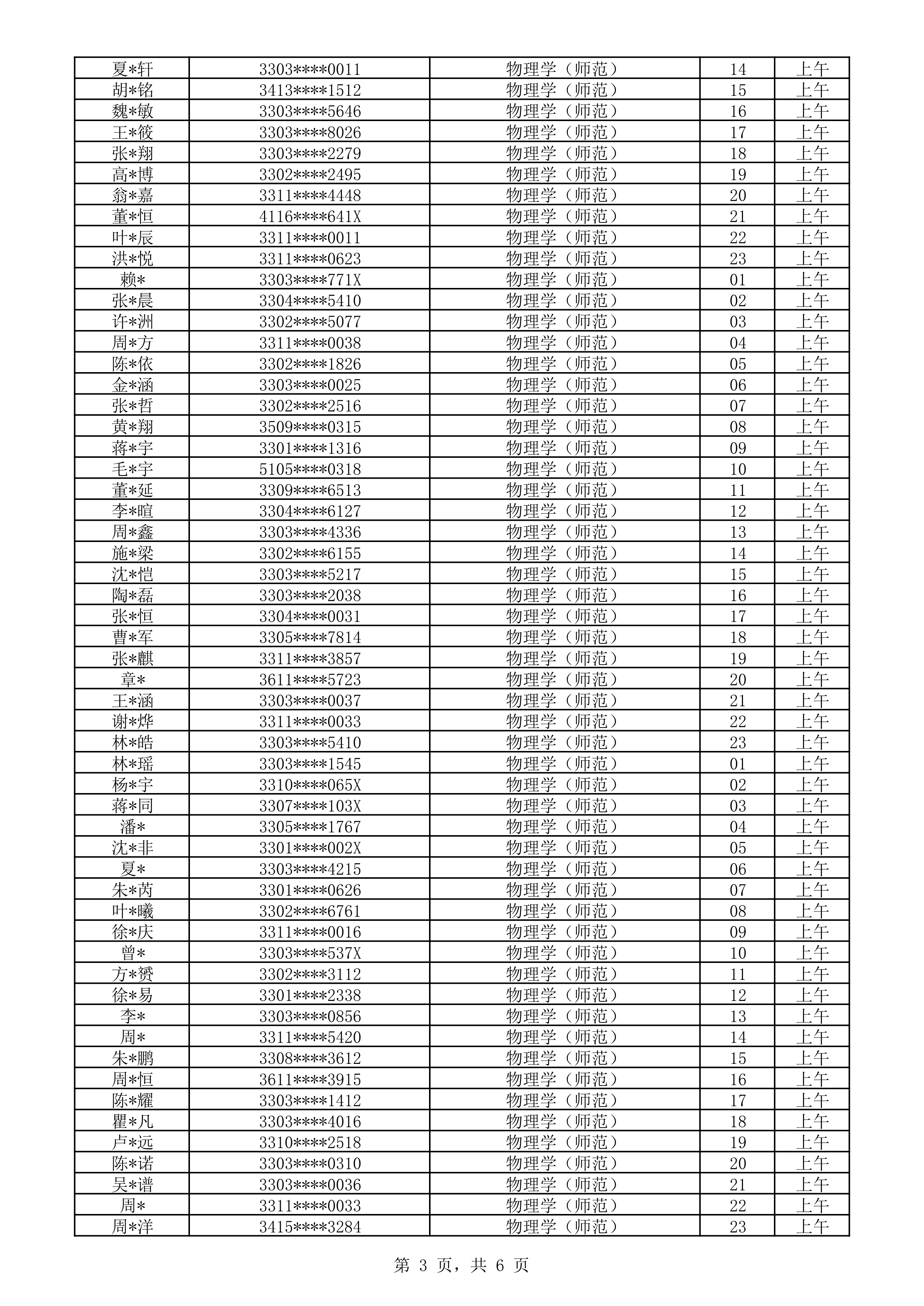
附件:浙江海洋大学2026年“三位一体”招生面试顺序号(上午场)
浙江海洋大学招生办
2026年4月19日






各位家长:
上午场面试顺序号见附件,每位考生面试时间为8分钟(不含5分钟候考时间,候考在前一位考生面试期间进行),面试结束即可离场,测试结束后从学校北一门出校(和进校同一个地点),家长在北一门附近等候。其中01号考生8:10分左右正式面试。
附件:浙江海洋大学2026年“三位一体”招生面试顺序号(上午场)
浙江海洋大学招生办
2026年4月19日






扫码下载APP
手机扫一扫下载APP