您当前的浏览器版本过低,请您升级浏览器
为了更好的使用优志愿产品,点击下载

谷歌浏览器

360极速浏览器

360安全浏览器

QQ浏览器

火狐浏览器

全国服务热线:400-181-5008
祝广大考生金榜题名
开通VIP

收藏

分享

内蒙古自治区普通高考综合改革政策解读

| 来源:内蒙古教育厅 3674

  考试招生制度是国家基本教育制度,高考综合改革是教育领域“牵一发而动全身”的重大改革。根据党中央、国务院的决策部署,经教育部和自治区党委、政府同意,我区作为全国第五批启动高考综合改革的8个省区之一,从2022年秋季入学的普通高中一年级学生开始实施高考综合改革。

  为帮助大家准确把握我区高考综合改革的政策措施,我们对《内蒙古自治区深化普通高等学校考试招生综合改革实施方案》(以下简称《实施方案》)中所涉及的社会关心关切的主要问题进行了梳理,编写了《内蒙古自治区普通高考综合改革政策解读》,供广大考生、家长和教师参阅。

  为方便咨询了解有关政策,我厅将于6月26日开通咨询电话0471-2856836、咨询平台(扫描下方二维码实名注册登录)和电子邮箱gkzhggzx@163.com,精心为广大考生和家长服务。

  1.为什么要开展新一轮高考综合改革?

  答:新一轮高考综合改革是党中央、国务院部署的重大改革任务。考试招生制度是国家基本教育制度,关系到党之大计、国之大计,关系到每个家庭的切身利益,关系亿万青少年学生前途命运。我国恢复全国统一高考40多年来,伴随着经济社会及教育体制改革的步伐,高考招生制度不断改进完善,初步形成了相对完整的考试招生体系,为学生成长、国家选才、社会公平作出了历史性贡献,成功走出了一条具有中国特色、基本符合中国国情的人才选拔道路,权威性、公平性、可操作性得到社会的普遍认可。但是在多样化人才选拔、促进学校分类特色办学和学生个性发展等方面的引领作用还不够,需要不断完善。

  党的十八届三中全会通过了《中共中央关于全面深化改革若干重大问题的决定》(以下简称《决定》),对高考综合改革作出了全面、系统的部署,明确要求推进考试招生制度改革,探索招生和考试相对分离、学生考试多次选择、学校依法自主招生、专业机构组织实施、政府宏观管理、社会参与监督的运行机制。

  2.高考综合改革已有多少个省进行?

  答:2014年9月,国务院下发了《关于深化考试招生制度改革的实施意见》,确定上海、浙江为首批高考综合改革试点省市,新一轮高考综合改革正式拉开帷幕。历经8年,先后有4批、21个省市实施了高考综合改革。

  3.我区从什么时间开始实施高考综合改革?

  答:经中央改革办同意,教育部审核备案,包括我区在内的8个省区将于2022年秋季启动第五批高考综合改革。即从2022年秋季入学的普通高中一年级学生开始,实行依据统一高考、普通高中学业水平考试成绩、参考综合素质评价的高校考试招生模式;到2025年,基本形成分类考试、综合评价、多元录取的高校考试招生制度,健全促进公平、科学选才、监督有力的高校考试招生体制机制。

  4.改革后,我区采取哪种高考模式?

  答:2025年起,我区将采取“3+1+2”高考模式。其中,“3”是指全国统一高考的语文、数学、外语3门科目,不分文理科;“1”是指在历史或物理科目中选择1门科目;“2”是指在思想政治、地理、化学、生物学4门科目中选择2门科目。“1+2”科目由自治区统一命题并组织考试,与全国统考同期进行。报考相关体育类、艺术类专业等考生还须参加相应专业考试。

  5.我区高考综合改革包括哪些内容?

  答:主要包括四个方面内容:一是完善普通高中学业水平考试制度;二是规范普通高中学生综合素质评价制度;三是深化统一高考考试招生改革;四是推动高等职业教育分类考试招生改革。

  6.普通高中学业水平考试是什么?

  答:普通高中学业水平考试是根据国家普通高中课程标准和教育考试规定,由自治区级教育行政部门组织实施的考试,分为合格性考试和选择性考试。合格性考试成绩作为普通高中学生毕业以及高中同等学力认定的依据。普通高中在校学生应在相应科目成绩“合格”的基础上方可报考选择性考试科目。选择性考试成绩计入高考总成绩。

  7.合格性考试包括哪些科目?

  合格性考试包括语文、数学、外语、思想政治、历史、地理、物理、化学、生物学、信息技术、通用技术、艺术(音乐、美术)、体育与健康等13门科目。普通高中在校学生均须参加合格性考试,中等职业学校学生和社会人员也可参加。考试成绩以“合格、不合格”呈现。合格性考试范围为各门科目课程标准确定的必修内容。

  8.合格性考试如何组织?

  答:合格性考试共13门科目,其中,语文、数学、外语、思想政治、历史、地理、物理、化学、生物学等9门科目由自治区统一组织命题、考试、阅卷、公布成绩和划定合格标准;体育与健康、艺术(音乐、美术)、通用技术、信息技术等4门科目及物理、化学、生物学、通用技术科目的实验技能操作测试,由自治区统一制定考试要求,各盟(市)组织实施。合格性考试按照教学进度分别安排在上下学期末。普通高中在校生首次参加考试不得早于高一下学期末,高一年级最多允许考4门,高三上学期结束前须完成全部13门科目的合格性考试。

  9.选择性考试包括哪些科目?

  答:选择性考试共6门科目,包括思想政治、历史、地理、物理、化学、生物学。参加普通高考的学生均应参加选择性考试。学生根据自身兴趣特长及拟报考高校招生专业对选择性考试科目的要求,在6门科目中选择3门参加考试。其中,历史或物理科目为首选科目,考生必须且只能选择其中1门参加考试;思想政治、地理、化学、生物学4门科目为再选科目,考生从中任选且只能选择其中2门科目参加考试。选择性考试范围为各门科目课程标准确定的必修内容和选择性必修内容。选择性考试与全国统一高考的语文、数学、外语同期进行。

  10.选择性考试科目选择组合有哪些?

  答:选择性考试科目有12种组合,具体如下:

44.png

  11.选择性考试科目什么时候确定?

  答:选择性考试科目由学生在相应科目合格性考试结束后即可选择,在高考报名时最终确定。高考报名前可以更换所选择的科目,高考报名结束后不可更改。学生选科时要综合考虑各种因素,征求家长、老师的意见,慎重考虑、科学选择。

  12.选择性考试如何组织?

  答:选择性考试由自治区统一命题、考试、阅卷和评定成绩。选择性考试从2025年起每年组织1次,与统一高考同期举行,普通高中在校生仅限高三年级学生参加。

  13.为什么物理和历史按卷面原始分计入考生高考总成绩?为什么思想政治、地理、化学、生物学考试成绩要使用等级转换分数?

  答:我区《实施方案》确定,自2025年起,普通高等学校统一考试招生分别按物理科目组合和历史科目组合分列招生计划、分别划定最低录取控制分数线、分别进行排队录取。选择物理(或历史)的考生将使用同一试卷,考试群体相同,成绩具有可比性,因此这两科分别使用卷面原始分计入考生总成绩。

  由于再选科目中不同科目试题难度差异和报考相应学科的考生群体不同,考生选考科目的卷面原始分不具有可比性。如,考生甲选考思想政治,考生乙选考化学,两人都考了80分,考生甲排在所有选考思想政治考生的第100位,考生乙排在所有选考化学考生的第1000位。若简单将他们各科成绩相加计入考生总成绩并进行比较,既不科学也不公平。因此,需要将不同科目的卷面原始分,按照一定规则转换成等级转换分数计入考生总成绩。转换后,考生的成绩排序不变,同时可实现不同科目成绩的可比性。

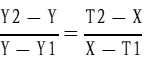
  14.等级转换分数是如何转换的?

  答:成绩转换按照等比例转换公式进行转换,这是已实行高考综合改革的省区通行做法。具体公式为:

3.png

  其中,

  Y1、Y2分别表示某个等级所对应卷面原始分区间的下限和上限;

  T1、T2分别表示相应等级的等级分赋分区间的下限和上限;

  Y表示相应等级内某考生的卷面原始分;

  X表示相应等级内某考生的等级转换分数。

  根据此公式,即可算出每个考生的等级转换分数。

  可以举例说明,假设某同学思想政治学科卷面原始分为75分,该学科B等级的卷面原始分分布区间为82~61,则该同学思想政治学科的卷面原始分属B等级。而B等级的转换分数区间为85~71,那么该同学思想政治学科的转换分为:

2.png

  解得,X≈80.33,四舍五入后该同学思想政治学科赋分成绩为80分。

  转换示意图:

1.png

  15.为什么要建立并规范高中学生综合素质评价制度?

  答:普通高中学生综合素质评价是客观反映学生德智体美劳全面发展情况的系统评价,是培育学生社会责任感、创新精神和实践能力、促进学生健康发展的重要手段,是深入推进素质教育的重要制度。开展综合素质评价,有利于促进学生认识自我、规划人生,积极主动地发展;有利于促进学校把握学生成长规律,从过于关注学生成绩向更加关注学生发展过程转变,切实转变教育观念和育人方式,形成办学特色;有利于促进评价方式改革,转变以考试成绩为唯一标准评价学生的做法,为高校招生录取提供重要参考。

  16.综合素质评价的主要内容有哪些?

  答:重点在思想品德、学业水平、身心健康、艺术素养、劳动与社会实践等五个方面,通过设定评价内容,明确评价要求,建立规范的学生成长档案,充分反映学生全面发展情况和个性特长,注重记录学生日常状态和突出表现。

  17.综合素质评价的主体和程序是什么?

  答:坚持“谁了解,谁评价”“谁评价,谁负责”,开展学生本人、同学、教师和家长等多元主体参与的日常动态评价。每学期末,学生在教师指导下按要求收集能够反映其综合素质发展状况的重要活动记录、典型事实以及标志性成果等相关材料,写实记录成长过程,在整理遴选、公示审核的基础上,形成学生综合素质档案,纳入学生综合素质评价信息管理平台统一管理。建立健全信息确认公示、投诉申诉、复议审核等监督保障与诚信责任追究制度,确保评价工作真实、简洁、有效。学生的综合素质档案公示确认后不得更改。

  18.综合素质评价在招生录取中有何作用?

  答:综合素质评价是高校招生录取的重要参考。高校根据办学特色和人才培养要求,制定科学规范的高中学生综合素质评价使用办法,在招生章程中具体明确,并提前向社会公布,评价结果作为招生录取的重要参考。在考生分数相同时,可优先录取和优先安排专业。

  19.高考考生文化课总成绩是如何构成的?

  答:考生文化课总成绩由语文、数学、外语3门全国统考科目成绩和自治区组织的3门选择性考试科目成绩构成,满分为750分。其中,语文、数学、外语科目每门满分均为150分,物理、历史每门满分均为100分,以卷面原始分计入高考文化课总成绩;思想政治、地理、化学、生物学科目满分均为100分,按等级转换分数计入高考文化课总成绩。

  20.考生确定选考科目时,为什么要在物理或历史中选1门,在其余4科中选2门?

  答:我区《实施方案》规定,考生在确定高中学业水平考试选择性考试科目时,应在历史和物理中选择1门作为首选科目,在思想政治、地理、化学、生物学中选择2门作为再选科目。这样设置的主要考虑:

  一是体现高校人才培养需要。普通高校、普通高中和学科专家普遍认为,在高校人才培养中,物理是自然科学类专业的基础性学科,历史是人文社会科学类专业的基础性学科。高中阶段学习物理或历史科目是大学阶段学习自然科学类专业或人文社科类专业以及其他交叉学科专业的重要基础。因此,考生在这2门科目中选择1门,有利于为考生进入大学专业学习奠定扎实基础,也有利于高校相关专业对学生的培养。

  二是有利于学生多样化成长发展。学生可从4门再选科目中选择2门参加选择性考试,有12种组合。相比改革前文理分科的两种学科组合方式,不仅增加了学生的选择权,而且促进了文理交融,充分体现了以人为本、学其所好、考其所长的原则,更加符合教育发展规律和人才成长规律,为学生成长成才提供更多机会。

  三是符合我区普通高中教育教学实际。我区各地普通高中办学条件存在一定差异,将物理和历史作为考生必选的科目之一,可以与现有师资、教室等条件有效衔接,引导不同地区、高中学校的学生合理选择学习科目,科学规划学业生涯,为进入大学继续深造奠定坚实的专业基础。

  21.我区实施的“3+1+2”高考模式和传统的文理分科有何区别?

  答:“3+1+2”模式和传统的文理分科有着本质上的区别。

  一是目标导向不同。“3+1+2”模式既体现了物理、历史学科的基础性作用,突出了高校不同学科专业选才的要求,也更加尊重学生的选择,挖掘学生的特长,注重学生的全面发展,提高学生的综合素质。

  二是选择科目组合不同。“3+1+2”模式,考生可根据个人爱好、兴趣、特长和拟报考学校和专业的招生要求以及高中学校的办学条件,在12种组合中自主选择,增大了考生的选择面。而传统文理分科仅有2种固定的组合供考生选择。其中,文科考生只能选择思想政治、历史、地理1种固定组合,理科考生只能选物理、化学、生物学1种固定组合,选择面比较窄。

  三是考试内容不同。“3+1+2”模式中,学生参加全国统一高考的语文、数学、外语3门科目考试时不分文理,所有考生的考试试卷完全一致,而传统文理分科的数学考试科目,试卷的内容和难度则是有区分的。

  四是考试分值和计入总成绩的方式不同。“3+1+2”模式中,全国统一高考的语文、数学、外语每科满分均为150分,首选科目的物理、历史每科满分均为100分,考试成绩均按卷面原始分计入考生高考总成绩,再选科目的思想政治、地理、化学和生物学每科满分均为100分,考试成绩按等级转换分数计入考生高考总成绩。

  五是命题主体不同。“3+1+2”模式,语文、数学、外语3门科目由教育部教育考试院统一命题,“1+2”选择性考试科目由自治区统一命题。

  22.合格性考试和选择性考试的区别是什么?

  答:合格性考试与选择性考试主要有以下六个方面的区别:

  一是考试目的不同。合格性考试是为了检验学生是否达到普通高中课程标准规定的基本学业要求的水平考试,主要侧重于“达标”,不强调选择区分功能;选择性考试是在“强化基础”的前提下,凸显不同高中生在学业修习上的学科特长,是具有选择区分功能的水平考试。

  二是考试科目不同。合格性考试科目覆盖国家课程方案规定的所有学习科目。选择性考试科目是在思想政治、历史、地理、物理、化学、生物学等6门科目中选择。具体就是在物理或历史2门科目中首选1门,在思想政治、地理、化学、生物学4门科目中再选2门,共计3个科目组成选择性考试科目。

  三是考试对象不同。普通高中在校学生均需参加合格性考试,中等职业学校学生和社会人员也可以报名参加合格性考试。选择性考试对象为符合教育部和自治区规定的普通高校招生考试报名条件并已报名参加我区普通高校招生考试的人员。

  四是考试范围不同。合格性考试范围为各门科目课程标准确定的必修内容要求;选择性考试范围为各门科目课程标准确定的必修内容和选择性必修内容的综合要求。

  五是考试时间和考试机会不同。自治区统一组织的合格性考试按照教学进度分别安排在每学年的上下学期末。普通高中在校生首次参加考试不得早于高一下学期末,不合格的科目可以补考一次。选择性考试从2025年起每年组织1次,时间与全国统一高考同期举行,普通高中在校生仅限高三年级学生参加。

  六是考试成绩呈现方式和用途不同。合格性考试科目成绩分为“合格、不合格”呈现,是学生毕业和高中同等学力认定的主要依据;选择性考试是统一高考招生录取的主要依据,其中物理或历史首选科目成绩以卷面原始分呈现,思想政治、地理、化学、生物学再选科目成绩以等级转换分数形式呈现。

  23.自2025年起,我区普通高校招生录取方式有什么变化?

  答:一是划线方式有变化。我区《实施方案》规定,自2025年起,普通高等学校统一考试招生按物理科目组合和历史科目组合分列招生计划、分别划定最低录取控制分数线;二是录取批次有变化。合并一本二本批次,录取将分为本科提前批、本科批、专科提前批和高职高专批等录取批次;三是志愿投档方式有变化。考生志愿实行平行志愿投档。具体招生录取办法在当年招生录取文件中明确。

  24.什么是平行志愿?目前,全国有哪些省(区、市)实行了平行志愿投档?

  答:平行志愿是普通高校招生投档录取模式之一,相对于传统梯度志愿(又称顺序志愿)而言,特指在高校招生某些规定的录取批次中,允许考生填报若干个平行但有顺序排列的院校志愿,按照“分数优先、遵循志愿”的原则,先从最高分考生开始,依次检索和投档,当轮到检索某一考生时,遵循该考生所填报的志愿顺序检索,当符合投档条件时即被投档,由高校自主择优录取。

  目前除内蒙古以外,全国30个省(区、市)全部实行平行志愿投档方式。

  25.高考综合改革为什么要实行平行志愿投档方式?

  答:平行志愿是高考志愿填报和投档录取模式的重大创新,有利于促进学生健康成长,有利于高校科学选拔人才,有利于教育教学改革,有利于维护社会公平。

  一是平行志愿增加选择机会。实行平行志愿后,考生选择志愿就不再为一两所高校的填报顺序发愁,可以选择自己心仪的多个学校和多个专业,显著增加考生选择和录取机会。

  二是平行志愿可以有效降低填报风险。平行志愿提供多个志愿选择,考生可以同时填报多所高校,志愿选择的风险降低,同时对电脑配置、网速、带宽等环境要求不高,能够有效减轻考生填报志愿时的紧张、焦虑情绪,更有利于考生根据自己的分数、兴趣、爱好和特长填报志愿。

  三是平行志愿坚持公开、透明的原则。平行志愿录取过程和录取结果是公开透明的。考生可参考招生考试机构公开发布的“一分一段”成绩统计表以及历年的高校录取信息填报志愿。在录取过程中,自治区招生考试机构公开各院校投档、录取最高最低分和录取结果等信息。

  26.普通高校招生专业对选考科目有何要求?

  答:普通高校会结合自身办学定位和专业培养目标,根据本校专业人才培养对高中学生学科专业基础的需要,对每个具体专业提出选考科目要求。比如,某高校的某专业要求考生必选“物理”,对其余科目不做要求,则表示考生3门选考科目中只要有物理就可报考该专业。如果某高校的某专业要求考生除了“物理”之外,还要选择“地理”,那么考生3门选考科目中就需要同时有“物理”和“地理”,才可以报考该专业。

  届时,我区将汇总在我区招生的各高校所提的选考科目要求,及时提供给考生参考。

  27.为什么要实行高等职业院校分类考试招生?

  答:高等职业教育担负着培养多样化人才、传承技术技能、促进就业创业的重要任务,在招生考试中实行高等职业院校分类考试招生,更加注重对学生专业能力和技术技能的考核,是我区构建现代职业教育体系的重要举措,是落实高职院校办学自主权,构建招生、培养、就业联动机制,系统培养高素质技术技能人才的深刻变革。实行高等职业院校分类考试招生,将成为高职院校招生的主渠道,既有利于高职院校按照职业教育的规律选拔和培养技能型人才,同时也有利于一部分学生尽早地选择适合自己的教育模式。

  28.高等职业院校分类考试招生考什么?

  答:高等职业院校分类考试招生实行“文化素质+职业技能”考试,按不同考生类型分为不同的考试内容。

  普通高中毕业生参加高等职业院校分类考试招生,文化素质成绩使用高中学业水平考试成绩;中职学校毕业生参加高等职业院校分类考试招生,文化素质成绩使用高职对口招生或高职单招文化课考试成绩。

  职业技能考试按照《教育部办公厅关于进一步完善高职院校分类考试工作的通知》和自治区有关要求组织实施。普通高中毕业生报考分类考试的,参加高职院校组织的与报考专业相关的职业适应性测试;中职学校毕业生报考分类考试的,参加招生院校会同招生考试机构组织的职业技能考试,职业技能考试包括专业能力测试和技术技能测试

  社会考生报考高职院校可参加职业适应性测试和相应科目的普通高中学业水平考试。

  29.高等职业院校分类考试招生与普通高考有什么联系和区别?

  答:高等职业院校分类考试招生与普通高考都是普通高校考试招生的重要组成部分,二者既有联系,也有区别。无论是参加高等职业教育分类考试招生,还是参加普通高考,都需要参加高考报名并取得报名资格;通过高等职业院校分类考试招生录取和通过普通高考录取的学生,毕业证书效力完全相同,没有任何区别。二者的区别主要表现为考试方式不同。高等职业院校分类考试招生实行“文化素质+职业技能”的考试方式;普通高考则主要考查学生的文化素质,考试科目除了统一高考科目语文、数学、外语外,还有3门学业水平考试的选择性考试科目。

  30.未被高等职业院校分类考试招生录取的考生是否还能够参加普通高考?

  答:高等职业院校单独考试录取工作一般安排在普通高考之前进行,没有提前报考高职院校以及报考但未被录取的考生,还可以继续参加普通高考,仍有机会被普通高校录取。高职对口招生考试与普通高考同期举行。

文章来源:内蒙古教育厅 内蒙古自治区普通高考综合改革政策解读

评论
说点什么吧
发布

手机扫一扫下载APP

400-181-5008

优志愿将竭力为您提供帮助

(免长话费 )

教APP备3100148号