一、选择性考试科目成绩如何计入高考总成绩?
答:根据新高考规定,2024年起我区普通高校招生统一考试科目包括3门全国统考科目和3门选择性考试科目,选择性考试科目由考生从物理和历史2门科目(以下统称首选科目)中任选1门,从思想政治、地理、
二、为什么首选科目以原始成绩计入高考总成绩?
答:《广西高考综合改革方案》确定,2024年起我区普通高校招生按照物理、历史两个类别,分列招生计划、分开划线、分开投档录取,即分别对选择物理和历史的考生进行排队。选择相同科目类(物理或历史)的考生使用相同试卷,考试群体相同,成绩具有可比性,可以使用原始成绩计入考生总成绩。
三、为什么4门再选科目成绩以等级转换分数计入高考总成绩?
答:首选科目相同的考生,可以在4门再选科目中,根据普通高校招生选考科目要求和个人兴趣特长,选择不同的2门科目计入总成绩。由于再选科目中不同学科之间存在试题命制的内容、形式、难度、考查角度等差异和报考相应学科的考生群体不同,不同科目之间原始分数不等值、不具有可比性。比如:

虽然甲、乙两名考生不同科目的原始分数相同,但排名位次不同,若简单将他们各科成绩相加计入总成绩并进行比较,既不科学也不公平。因此,再选科目成绩用于普通高校招生录取时,必须解决考生分数具备可比性的问题,采用等级转换分数计入考生总成绩。
四、等级转换分数的转换规则是什么?
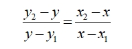
答:先按原始分数划定等级,再进行等级赋分。按照每门科目考生的原始分数从高到低划定为A、B、C、D、E五个等级,各等级人数所占比例分别为15%、35%、35%、13%和2%,将考生的原始分数转换成等级。转换基数为实际参加该科目考试并取得有效成绩的人数。成绩转换时以30分作为赋分起点,满分为100分。将A至E五个等级内的考生原始分数,依照等比例转换方法,分别对应转换到100~86、85~71、70~56、55~41和40~30五个分数区间,得到考生的等级转换分数。等级转换分数计算结果按“四舍五入”进行处理,以整数呈现。等级转换分数一分一档,与原始分数排序保持不变。
转换公式:
其中:
需注意,等级转换分数由自治区招生考试院组织专家,依据上述转换规则进行转换。原始分数、转换过程等过程性信息,根据相关规定不予公布。考生在查询成绩时,即可得到转换后的分数,无需自行转换。
五、等级转换分数的优点是什么?
答:一是通过将不同再选科目原始分数按照统一规则转换到同一量尺上,较好地解决了不同再选科目成绩之间可比性问题。二是通过依照等比例转换方法将等级转换成等级分数,较好地解决了不同再选科目成绩之间可加性问题。三是能够保持每门再选科目内考生成绩排名顺序与原始分数排名顺序不变,能够最大限度保证考生成绩具有良好的区分度,满足高校人才选拔和投档录取需要,确保普通高校招生录取公平公正。
六、等级转换的具体示例

转换示意图:

文章来源:广西招生考试院 《广西普通高中学业水平选择性考试思想政治等4门考试科目成绩计入普通高校招生录取总成绩方式》解读
高招云直播