1.2024年普通高校招生考试和录取工作实施方案出台的依据是什么?
根据《国务院关于深化考试招生制度改革的实施意见》精神,按照教育部的统筹部署,我省作为全国第四批高考综合改革省份,于2021年启动实施。当年9月,省政府印发《安徽省深化普通高校考试招生综合改革实施方案》,提出改革考试科目设置、全面实施普通高中学业水平考试和综合素质评价制度、完善高校招生录取方式等,明确到2024年,形成分类考试、综合评价、多元录取的考试招生模式,健全促进公平、科学选才、监督有力的高校考试招生体制机制,形成依据国家统一高考和高中学业水平选择性考试成绩、参考综合素质评价的多元录取机制。
2021年以来,我省持续推进完善改革基础条件,调整优化教育教学模式方式,加强学生发展指导,摸排反馈学生选科情况,有序推进命题能力建设,并平稳组织了首次普通高中学业水平合格性考试,顺利完成了2024年高考报名,高考综合改革序时平稳推进。依据《安徽省深化普通高校考试招生综合改革实施方案》,借鉴第三批改革省份成功经验,结合我省实际,并落实教育部要求、保持与同批启动改革省份协同,制定了《安徽省2024年普通高校招生考试和录取工作实施方案》。
2.什么是普通高中学业水平考试?
普通高中学业水平考试是根据国家普通高中课程标准和教育部有关规定,由省级教育行政部门组织实施的国
普通高中学业水平考试根据其考试定位、性质和作用,分为合格性考试和选择性考试。合格性考试成绩是普通高中学生毕业以及高中同等学力认定的重要依据;选择性考试成绩纳入高考总成绩,作为高校招生录取的依据之一。
3.完善和强化普通高中学业水平考试制度的目的是什么?
一是促进学生全面发展。引导学生认真学习每一门课程,避免严重偏科现象,全面提高综合素质。
二是促进学生个性发展。计入考生高考总成绩的选择性考试科目,学生须根据高等学校招生要求以及普通高中办学条件,充分考虑自身兴趣、志向、优势,自主科学合理选择。
三是促进高中教育质量提升。通过普通高中学业水平考试制度改革,引导高中落实课程方案,加强课程实施,提高办学质量。
四是促进高校科学选才。高校针对专业人才培养需要,通过规范合理设置招生录取科目要求,提高选拔人才的针对性和有效性。
4.普通高中学业水平合格性考试如何实施?
普通高中在校生均须参加学业水平考试合格性考试,高中阶段其他在校生和符合条件的社会人员也可报名参加。普通高中在校生通过学校办理合格性考试的报名手续;高中阶段其他在校生和符合条件的社会人员在户籍所在地招生考试机构或指定的报名点办理报名手续。
合格性考试科目中的语文、数学、外语、思想政治、历史、地理、物理、
合格性考试成绩以“合格”和“不合格”方式呈现。合格性考试各科成绩合格,是普通高中学生毕业及高中同等学力认定的重要依据。普通高中应届生只有通过合格性考试,方可参加该科目的选择性考试。合格性考试科目成绩纳入学生综合素质评价,同时也是普通高中学校课程管理和教学质量监测的重要参考依据。
5.普通高中学业水平选择性考试包括哪些科目?内容范围是什么?
选择性考试科目包括思想政治、历史、地理、物理、
6.普通高中学业水平合格性考试和选择性考试的区别是什么?
合格性考试与选择性考试主要有以下五个方面的区别:
一是考试目的不同。合格性考试的目的是检查全体高中学生是否达到了普通高中课程方案和课程标准规定的基本学业要求,可以称为“强化基础”;选择性考试的目的则是在“强化基础”的前提下,凸显不同高中生在学业修习上的学科特长,可以称为“突出个性”。
二是考试科目不同。合格性考试覆盖国家课程方案规定的所有学习科目。选择性考试是学生根据自身兴趣、志向、优势和高等学校招生要求以及普通高中办学条件,在物理、历史2门科目中首选1门,在思想政治、地理、
三是考试范围不同。合格性考试范围为各学科课程标准确定的必修内容;选择性考试范围为各学科课程标准确定的必修和选择性必修内容。
四是成绩呈现不同。合格性考试科目成绩以“合格”和“不合格”方式呈现。选择性考试中,首选科目成绩以原始分呈现;再选科目成绩以等级分呈现。
五是考试时间不同。合格性考试时间一般安排在高二第一学期末。成绩不合格的应届生可在高三第一学期(一般在9月份)再参加一次合格性考试。选择性考试自2024年起实施,每年组织1次,时间紧随统一高考进行。
7.考生报考学业水平选择性考试科目有什么要求?
普通高中应届毕业生只有通过合格性考试,方可参加该科目的选择性考试。普通高中应届毕业生学业水平合格性考试物理、历史均不合格,或
8.考生如何确定选择性考试科目?
选择性考试科目要结合自身兴趣特长和优势、高校招生专业选考科目要求和普通高中办学条件等进行科学合理确定。选择性考试科目由学生在合格性考试结束后选择,在高考报名时最终确定,高考报名结束后不可更改。
考生在选择过程中,应慎重考虑。一是无论哪一学科的学习,随着内容难度的增加,都可能会遇到困难,有时成绩还会暂时下滑,这属于正常现象;二是选科后,各学科就开始学习所选科目选择性必修内容,如果一段时间后再更换学科,已经进行的课程很难补课。因此,建议学生选科时要综合考虑各种因素,征求家长、老师的意见,科学选择,尽量避免更换学科。
9.2024年新高考科目“3+1+2”如何组成?
2024年高考科目由统一高考科目和学业水平选择性考试科目组成。“3”为统一高考科目,即语文、数学、外语(含听力)3科,其中数学不分文理,外语科目包括
学业水平选择性考试科目包括思想政治、历史、地理、物理、
10.2024年新高考考试时间如何安排?
考试时间安排在6月7日至9日。语文科目考试时长为150分钟,数学、外语科目考试时长均为120分钟,学业水平选择性考试科目每科考试时长均为75分钟。
具体考试安排为:

注:统一高考科目的考试安排以教育部公布内容为准,如有调整,我省选择性考试科目的考试安排将相应调整。
11.2024年考生报考科类有哪些变化?
2024年起考生报考科类不分文理科,由改革前的文史类、理工类、
12.高考实施“3+1+2”模式和传统的文理分科有何区别?
“3+1+2”的模式和传统的文理分科有着本质上的区别:
一是目标导向不同。“3+1+2”的模式既体现了物理、
二是选择科目组合不同。“3+1+2”的模式,学生可根据个人爱好、兴趣、特长和拟报考学校和专业的招生要求以及高中学校的办学条件,在12种组合中自主选择,增大了考生的选择面。而传统文理分科仅有2种固定的组合,即文史类的文科综合(含思想政治、历史、地理),理工类的理科综合(含物理、
三是考试内容不同。“3+1+2”的模式,学生参加全国统一高考的语文、数学、外语3门科目考试时,所有考生的考试试卷完全一致。而传统文理分科的数学考试科目,试卷的内容和难度则是有区分的。
13.新高考考生的成绩是如何组成的?
考生的成绩由语文、数学、外语3门统考科目成绩和考生自主选择的3门学业水平选择性考试科目成绩组成,满分为750分。其中语文、数学、外语满分均为150分,以原始分计入总分;选择性考试科目满分均为100分,历史和物理科目以原始分计入总分,其他科目(思想政治、地理、
14.为什么物理和历史按原始分计入高校招生录取总成绩?
我省方案确定,在普通类录取时选考物理科目组合和选考历史科目组合的考生将分列计划、分开录取。因此,选择物理(或历史)的考生使用同一物理(或历史)试卷,考试群体相同,成绩具有可比性,可以使用原始分计入高校招生录取总成绩。
15.为什么思想政治、地理、
首选科目相同的考生,可以在思想政治、地理、
由于再选科目中不同学科试题差异和选择报考相应学科的考生群体不同,因此,不同科目的原始分不具有可比性。如,考生甲选考思想政治,考生乙选考
所以需要将再选科目的原始分按照一定规则通过转换得到等级分(转换后考生选考科目成绩排序不变),以解决再选科目的原始分不具有可比性的问题。
16.四门再选科目(思想政治、地理、
按照《安徽省高等学校招生委员会 安徽省教育厅关于普通高中学业水平选择性考试成绩计入高校招生录取总成绩方式的通知》(皖招委〔2021〕10号)要求,以等级分计入高校招生录取总成绩的某一选择性考试科目的考生成绩,转换时赋分起点为30分。
具体转换步骤如下:第一步,按照每门选择性考试科目考生的原始分从高到低划定A、B、C、D、E共五个等级,各等级人数所占比例分别约为15%、35%、35%、13%和2%,将考生的原始分转换成等级。第二步,将A至E五个等级内的考生原始分,依照等比例转换方法,分别对应转换到100~86、85~71、70~56、55~41和40~30五个分数区间,得到考生的等级分。每门选择性考试科目等级分数的转换基数为实际参加该科目考试并取得有效成绩的人数。具体选择性考试科目等级分转换方法及示例如下:
一、分数转换参数设置

二、转换公式

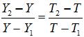
其中:Y1、Y2分别表示某个等级所对应原始分区间的下限和上限;T1、T2分别表示相应等级的等级分区间的下限和上限;Y表示某等级内某考生的原始分;T表示相应等级内某考生的等级分。
三、转换示例

假设某考生思想政治科目选择性考试科目原始分为 75 分。
第一步,将该科目选择性考试原始分从高到低进行排序,按照规定的等级比例将该考生划定为 B 等级,该科目 B 等级的原始分区间为 82~61(仅是示例,实际各科目各等级原始分区间不固定);
第二步,根据分数转换参数设置,将 B 等级内该考生原始分,依照等比例转换方法,转换到 85~71 分数区间,根据转换公式,该考生思想政治科目的等级分为:

解得,T≈80(四舍五入取整),即该考生思想政治科目等级分为 80 分。
17.采用等级分解决了哪些问题?
一是通过将不同再选科目原始分按照统一规则转换到同一量尺上,较好地解决了不同再选科目成绩之间可比性的问题。
二是通过依照等比例转换原则将等级转换成等级分,较好地解决了不同再选科目成绩之间可加性的问题。
三是能够最大限度保证考生的成绩具有良好的区分度,满足高校人才选拔需要。同时,能够保持考生每门学科成绩排名顺序不变。
18.综合素质评价的主要内容有哪些?
综合素质评价内容包括思想品德、学业水平、身心健康、艺术素养、劳动素养与社会实践五个方面,主要考察学生在爱党爱国、理想信念、诚实守信、仁爱友善、责任义务、遵纪守法等方面的表现,各门课程基础知识、基本技能掌握情况以及运用知识解决问题的能力和学生发展核心素养等,健康生活方式、体育锻炼习惯、身体机能、运动技能和心理素质等,对艺术的审美感受、理解、鉴赏和表现的能力,在
普通高中学校还可以基于学生发展的年龄特征,结合教育教学实际,细
19.综合素质评价档案材料如何应用?
一是指导学生积极主动发展。普通高中学校要利用每学期的班级评价结果建立学生分类发展性评价体系,指导学生建立自信、克服不足,学会自我管理,明确努力方向;引导
二是促进普通高中学校实施素质教育。各级教育行政部门要利用“信息管理系统”和评价
三是作为高校选拔人才的重要参考。高中学校要将学生综合素质评价档案提供给高校招生使用。2024年起,高等学校在招生章程中应明确综合素质评价的具体使用办法,并提前向社会公布。
20.2024年高校招生计划是如何编制的?
2024年,普通类招生计划按照历史科目组合、物理科目组合分别编制。艺术类、
21.2024年高校招生录取批次是如何设置的?
2024年普通高校招生类别分普通类、艺术类和
普通类共设置4个批次,包括普通本科提前批次、普通高职(专科)提前批次、普通本科批次、普通高职(专科)批次;艺术类共设置3个批次,包括第一批次(校考本科批次)、第二批次(统考本科批次)、第三批次(统考高职〈专科〉批次);
22.新高考实施后考生选择机会是否会增加?
改革后考生选择机会将会大幅增加。为尽可能满足考生升学对院校和专业的选择需求,我省普通本科提前批次、普通高职(专科)提前批次、国家专项计划、地方专项计划等实行平行志愿的类别,各分别设置20个院校专业组志愿(改革前为6个院校平行志愿);艺术类、
改革后志愿设置的数量将大幅增加,能够充分满足广大考生选择填报的需要,因此不再设置院校服从志愿。
23.合并本科批次是如何考虑的?
《国务院关于深化考试招生制度改革的实施意见》(国发〔2014〕35号)明确提出“创造条件逐步取消高校招生录取批次”。合并本科批次,体现了国家改革的总体方向,能够更好满足高校、考生及社会的发展需要。
24.各批次录取控制分数线是如何划定的?
普通类本、专科录取控制分数线按照普通类历史科目组合、普通类物理科目组合相应本科、专科层次招生计划的一定比例,并综合考虑成绩分布等因素分别划定。
特殊类型招生控制线分普通类历史科目组合、普通类物理科目组合,参考往年普通文理科本科第一批次招生计划按比例分别划定,用于强基计划、高校专项计划等部分特殊类型招生录取使用。
根据省招委印发的《安徽省进一步加强和改进普通高校艺术类专业考试招生工作实施方案》(皖招委〔2023〕3号),按照历史科目组合、物理科目组合分别划定艺术类统考本科、高职(专科)文化课录取控制分数线。其中,
艺术类专业校考、戏曲类省际联考文化课成绩要求按照教育部相关规定执行。
省教育招生考试院在公布艺术类省级统考专业考试成绩时,根据报名人数、专业考试成绩分布等情况划定艺术类专业合格线(校考资格线)。达到艺术类专业合格线(校考资格线)的考生可以参加相应艺术类专业校考,同时也作为艺术类高职(专科)统考批次的最低专业合格要求。
为确保艺术类统考本科批次生源专业素养,在高考成绩公布时,省招委根据考生高考文化成绩和专业考试成绩分布,以及当年招生计划等因素,分类别划定省级统考本科批次专业录取控制分数线,与高考文化课录取控制线同期发布。不再划定省级统考综合分最低录取控制线。
民航
25.2024年在志愿填报方面有哪些主要变化?
与改革前相比,志愿填报单位、志愿填报要求发生了变化。
(1)志愿填报单位
改革前以“院校”为志愿填报单位,1所院校即为1个志愿填报单位,改革后以“院校专业组”为志愿填报单位,1个院校专业组即为1个志愿填报单位,按“院校专业组”的方式进行志愿填报。
(2)志愿填报要求
改革后,考生填报志愿时,其选考科目须符合拟填报院校专业组的选考科目要求,否则不能填报该院校专业组志愿。我省填报志愿的时间段和填报方式与改革前相同,仍采用在高考文化成绩公布后,分阶段组织网上填报志愿的方式。
26.如何理解“院校专业组”的志愿模式?
志愿填报与投档录取采用“院校专业组”模式。“院校专业组”指的是某一高校对考生选考科目要求相同的专业(类)的组合。一所院校可设置一个或多个院校专业组,每个院校专业组内可包含数量不等的专业(类)。同一院校专业组内各专业(类)对考生的选考科目要求相同。同一院校选考科目要求相同的专业(类)也可分设在不同的院校专业组中。考生的选考科目须符合所报考院校专业组的选考科目要求,方可填报相关志愿。
采用院校专业组的志愿填报方式,具有以下特点:
一是能提高考生志愿满意度。院校专业组的志愿设置模式,考生根据自己所选的选择性考试科目填报相应的院校专业组志愿,院校专业组内可能是一个专业,也可能是多个专业(即使是多个专业也是对选考科目要求相同的专业,跨度不会太大),考生按院校专业组投档后,符合条件的,可在该院校专业组内进行专业调剂,提升了考生的兴趣志向和最终所录专业的契合度,真正做到了“学其所好、录其所长”。
二是符合高校选拔和培养人才的要求。高校根据专业人才培养对学生学科专业基础的要求以及学校自身办学的需要,设置选择性考试科目要求。按院校专业组投档录取,能提高考生选考科目与高校招生专业选考要求的匹配度,使学校招录到有相应学科特长和兴趣的考生,有利于进校后人才培养和学校自身发展。
三是能够引领基础教育健康发展。促使高中学校关注学生学习过程中的兴趣特长和专业志向,更多关注学生的综合素质发展,促进学生的个性特长发展。
27.各批次志愿是怎样设置的?
2024年各批次志愿设置如下:
1.普通类
普通类共设置4个批次,包括本科提前批次、高职(专科)提前批次、本科批次和高职(专科)批次。
(1)普通本科提前批次,分为军事、公安司法(含公安司法国家专项计划)及应急消防、公费师范、优师专项、免费
军事、公费师范、优师专项、免费
本科提前批次录取结束后进行农村和脱贫
(2)普通高职(专科)提前批次,分为
2024年提前批次各类别可根据教育部有关要求和实际情况作适当调整。
(3)普通本科批次,实行平行志愿,设置45个院校专业组志愿,每个院校专业组设6个专业志愿及专业服从志愿。
(4)普通高职(专科)批次,实行平行志愿,设置45个院校专业组志愿,每个院校专业组设6个专业志愿及专业服从志愿。
2.艺术类
艺术类共设置3个批次,包括校考本科批次、统考本科批次和统考高职(专科)批次。
(1)第一批次为校考本科批次。少数经批准开展校考的艺术类专业和戏曲类省际联考专业列入该批次录取。设置1个院校专业组志愿,含1个专业志愿及专业服从志愿。
(2)第二批次为艺术类统考本科批次。使用省统考专业成绩录取的艺术类本科专业列入该批次录取。实行平行志愿,设置20个院校专业组志愿(考生在每个批次只能选择报考一个艺术类别的志愿,其中音乐类、表〈导〉演类中的细分小类或方向可兼报志愿),每个院校专业组设6个专业志愿及专业服从志愿。
音乐类中对乐器类别等有特殊要求,按照主、副项,声、器乐成绩等进行投档录取的院校(专业),经我省同意,可在平行志愿投档前单独投档录取,单设1个院校专业组志愿和1个专业志愿。单独投档录取结束后,再进行音乐类平行志愿投档录取。
(3)第三批次为艺术类统考高职(专科)批次。使用省统考专业成绩录取的艺术类高职(专科)专业列入该批次录取。实行平行志愿,设置20个院校专业组志愿,每个院校专业组志愿设6个专业志愿及专业服从志愿。
3.
(1)第一批次为
(2)第二批次为
4.征集志愿
各批次志愿录取结束后,针对未完成计划和新增计划,设置征集志愿(不含艺术类第一批次)环节。征集志愿的设置与相应批次志愿设置一致;并可根据实际情况进行多次征集。
28.志愿填报时,考生选考科目应如何对应高校选考范围要求?
高校依据教育部有关文件要求,提出本校招生专业(类)的选考科目要求,考生应按照高校招生专业(类)的选考科目要求,精准填报。一是符合首选科目“历史”“物理”要求。比如,历史科目组合下的专业,只有首选科目为历史的考生才能填报;物理科目组合下的专业,只有首选科目为物理的考生才能填报。二是符合再选科目要求。(1)不提再选科目要求的,符合首选科目要求的考生均可填报;(2)提出1门再选科目要求的,考生必须选考该科目方可填报,如某校某专业对
29.如何查询招生院校对选择性考试科目的要求?
考生可以通过安徽省教育招生考试院官方网站(网址:https://xgk.ahzsks.cn/)查询各高校院校专业组的选考科目要求,具体以安徽省教育招生考试院编印的《2024年安徽普通高校招生报考指导》公布内容为准。
30.考生填报志愿时应注意哪些事项?
考生要认真做好填报志愿的准备工作,仔细阅读拟报考高校的招生章程和我省普通高校招生报考指导等,了解有关招生政策和要求。及时关注安徽省教育厅、安徽省教育招生考试院官方网站、微信公众号发布的相关信息,积极参加学校组织的志愿填报辅导等活动,根据自己的成绩、选考科目、志向、体检结论等,慎重报考。同时,要认真辨识审慎选择各类机构或自媒体线上线下营利性质的志愿填报咨询辅导活动,防止被带偏误导或上当受骗。
31.2024年录取方式是什么,有什么变化?
2024年,我省普通高校招生依据统一高考成绩以及学业水平选择性考试科目考试成绩,参考高中阶段综合素质评价,择优录取考生。按历史科目组合、物理科目组合分别编制招生计划、分开划线、分开录取。考生志愿由“院校专业组”组成,一个院校专业组为一个志愿单位。与改革前相比,主要变化为:
(1)由投档到院校变为投档到院校专业组。
(2)专业调剂范围不同。改革前,专业服从调剂志愿可在招生院校未录满专业中进行调剂,改革后,只能在同一个院校专业组内未录满专业中进行专业调剂。
32.如何理解院校专业组平行志愿投档规则?
院校专业组平行志愿投档是以院校专业组为投档单位,按照“分数优先,遵循志愿”的原则进行投档。平行志愿投档时,按考生投档分从高分到低分排序,依次检索考生所填院校专业组志愿,一经出现符合投档条件的院校专业组,即向该院校专业组投档。如没有出现符合投档条件的院校专业组,则不能投档。如果考生档案投档到某院校专业组后,因故被退出,将不再补投到该批次平行志愿的其他院校专业组。
33.平行志愿投档时,普通类、艺术类、
平行志愿投档时,普通类、艺术类、
普通类考生的投档分为高考文化分。
艺术类、
(1)艺术类
综合分1=高考文化分×50%+专业分×2.5×50%,适用于音乐类、舞蹈类、表(导)演类、
综合分2=高考文化分×70%+专业分×2.5×30%,适用于
(2)
考生如符合照顾加分投档政策,则按有关规定在考生高考文化分的基础上增加一定分数计算投档分。根据教育部有关规定,所有高考加分项目及分值均不得用于高校不安排分省招生计划的艺术类专业、高水平运动队、高校专项计划等招生项目。
34.平行志愿投档时,考生投档分相同时如何排序?
普通类实行平行志愿投档的批次,按照“分数优先,遵循志愿”的原则进行投档。普通类考生按其高考文化总分排序投档。当考生总分相同时,依次按语文数学两科之和、语文或数学单科最高成绩、外语单科成绩、首选科目单科成绩、再选科目单科最高成绩由高到低排序投档。省教育招生考试院根据排序规则,在公布考生高考文化成绩时,同时公布其在历史科目组合或物理科目组合中的全省位次。
艺术类、
35.考生查询高考成绩和录取结果的渠道是什么?
考生可以通过安徽省教育招生考试院官方网站(网址:https://cx.ahzsks.cn/)等渠道查询高考成绩和录取结果。公布的考生成绩包括总分、各科目得分(语文、数学、外语和首选科目为原始分,再选科目为等级分),以及在历史科目组合或物理科目组合中的排名。
高招云直播