您当前的浏览器版本过低,请您升级浏览器
为了更好的使用优志愿产品,点击下载

谷歌浏览器

360极速浏览器

360安全浏览器

QQ浏览器

火狐浏览器

全国服务热线:400-181-5008
祝广大考生金榜题名
开通VIP

收藏

分享

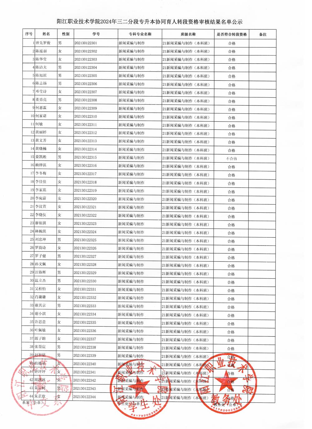
阳职院2024年三二分段专升本协同育人符合转段资格学生名单公示

| 来源:阳江职业技术学院 2930

附件:1.电子商务专业符合2024年转段资格学生名单

2.小学英语教育专业符合2024年转段资格学生名单

3.新闻采编与制作专业符合2024年转段资格学生名单

撰稿:教务处招生办 校对:招生办 审核:招生办

评论
说点什么吧
发布

手机扫一扫下载APP

400-181-5008

优志愿将竭力为您提供帮助

(免长话费 )

教APP备3100148号