您当前的浏览器版本过低,请您升级浏览器
为了更好的使用优志愿产品,点击下载

谷歌浏览器

360极速浏览器

360安全浏览器

QQ浏览器

火狐浏览器

全国服务热线:400-181-5008
祝广大考生金榜题名
开通VIP

收藏

分享

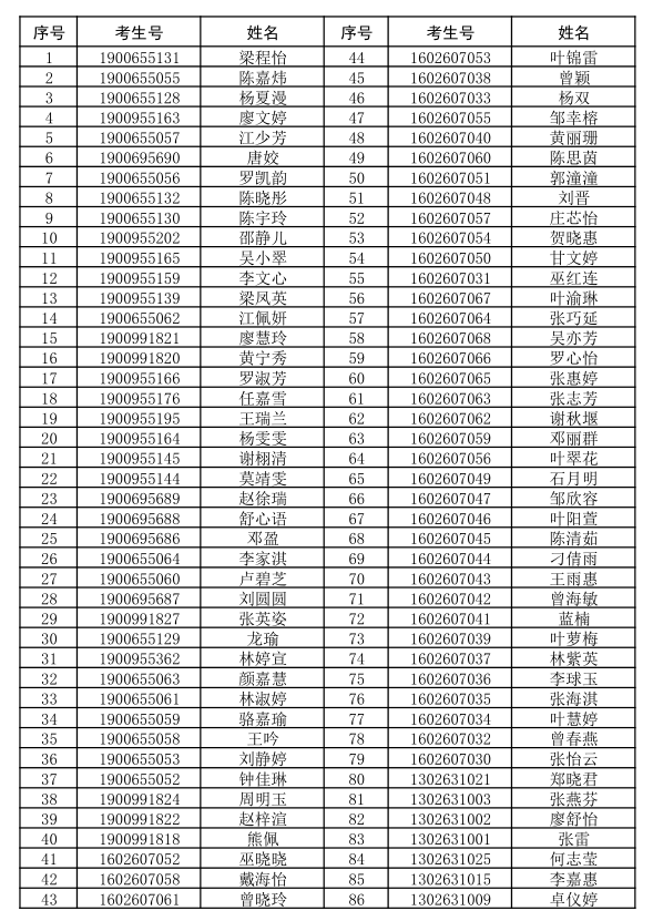
2019年中高职衔接三二分段转段录取名单公示

| 来源:惠州卫生职业技术学院 1931

根据《广东省教育厅 广东省招生委员会办公室关于做好2018年职业院校中高职衔接三二分段转段考核工作的通知》粤教职函〔201867号文件精神,经省考试院审核通过,我校2019年中高职衔接三二分段转段录取考生86名,现对录取考生进行公示。

评论
说点什么吧
发布

手机扫一扫下载APP

400-181-5008

优志愿将竭力为您提供帮助

(免长话费 )

教APP备3100148号