2025年广西高职高专分类考试招生联合测试对口招生《文化素质测试+职业技能测试》考试大纲
本考试大纲依据《国务院关于深化考试招生制度改革的实施意见》(国发〔2014〕35号)、《教育部办公厅关于进一步完善高职院校分类考试工作的通知》(教学厅函〔2021〕36号)、《自治区招生考试院关于做好我区2025年高职院校分类考试招生工作的通知》(桂考院〔2024〕189号)等文件精神制定。
一、测试性质
本考试大纲适用于2025年广西高职高专院校招生联盟对口招生的联合测试。
二、测试对象
参加我区2025年普通高校招生考试报名且符合《自治区招生考试院关于做好我区2025年高职院校分类考试招生工作的通知》(桂考院〔2024〕189号)文件所规定报名条件的考生。
三、测试目标
依据联盟学校的人才选拔要求和专业课程标准,科学设计命题内容,增强基础性、综合性,实行“文化素质测试+职业技能测试”评价方式,着重考查学生文化基础和职业技能,全面、准确地反映考生的学习能力和水平,为联盟学校专业招生择优录取提供依据,促进公平竞争、科学选才。
四、测试形式
本次测试采用线下笔试形式进行,采用标准化答题卡答卷,时长为120分钟。
参加联合测试的考生为“对口招生”类型。
五、测试内容和试卷结构
测试的主要内容分为两部分:文化素质测试和职业技能测试。
总分600分,其中文化素质测试300分,职业技能测试300分。
(一)文化素质测试试卷结构和内容
1.试卷结构
文化素质测试包括语文、数学、英语三部分内容,总分300分。
(1)语文
①测试分值:满分为100分。
②题型:共23道题,其中:单选题19题,每题4分;多选题4题,每题6分。
(2)数学
①测试分值:满分为100分。
②题型:共23道题,其中:单选题19题,每题4分;多选题4题,每题6分。
(3)英语
①测试分值:满分为100分。
②题型:共23道题,其中:单选题19题,每题4分;多选题4题,每题6分。
2.测试内容及范围
测试参考教育部颁发的《中等职业学校语文课程标准》《中等职业学校数学课程标准》《中等职业学校英语课程标准》的要求,知识覆盖面要广,难度适中,是作为一个中职毕业生所必备的最基础的知识。
3.试卷呈现
具体详见附件1:2025年高职高专分类考试招生联合测试对口招生考试文化素质测试试卷(样题)。
(二)职业技能测试试卷结构和内容
1.试卷结构
职业技能测试目的是考查考生的职业潜能,包括学习能力、语言表达能力、分析推理能力、技术技能操作能力。
总分300分。其中:
(1)学习能力:满分100分,共11道题。其中:单选题8题,每题8分;多选题3题,每题12分;
(2)语言表达能力:满分100分,共11道题。其中:单选题8题,每题8分;多选题3题,每题12分;
(3)分析推理能力:满分50分,共5道题,每题10分;
(4)技术技能操作能力:满分50分,共5道题(卷面15道题,选择5道作答),每题10分。
2.测试内容
职业技能测试内容包括学习能力、语言表达能力、分析推理能力、技术技能操作能力。
(1)学习能力测试的主要内容:
①注意力。包括:注意力的稳定性、持续性、广度、分配转移、集中性五个指标的测试。
②记忆力。包括:选择记忆、联想记忆、视觉再生、视觉再认、视听综合等记忆力指标的测试。
③思维力。包括:抽象思维能力、空间思维能力、逻辑思维能力等指标的测试。
④观察力。包括:目的性、条理性、理解性、敏锐性、准确性等方面的测试。
(2)语言表达能力测试的主要内容:
语言表达能力测试,是以语文为工具,测试考生对自然科学、人文与社会科学等基础知识的理解与表达能力。
语言表达能力的测试包括:运用语言的能力,即运用字、词、句、段进行口头和书面语言表达能力的测试。
①了解相关学科的常用术语和表达形式,以及新成果和新术语。
②理解相关学科的基本概念、一般原理和普遍规律,能理解所给文本中重要的词语,解释文本中重要的句子,进行文章、段落的概括与归纳。
③应用科学知识去正确地解释和说明有关现象和问题,对已学知识具有综合、重组和转换的能力,且具有敏锐地接受新知识的能力。
(3)分析推理能力测试的主要内容:
分析推理能力主要测试考生对各种事物关系的分析推理能力,涉及对图形、词语概念、数量关系、事物关系和文字材料的理解、比较、组合、演绎和归纳等。包括:归纳推理能力、演绎推理能力、类比推理能力等。
(4)技术技能操作能力测试的主要内容:
技术技能操作能力测试主要测试考生岗位技能、通用技术操作能力,考核内容主要涉及教育部发布的中职专业教学标准中的核心技术技能。
3.试卷呈现
联合测试采用现场笔试的方式进行,测试题为标准化试题,采用标准化答题卡答卷。具体详见附件2:广西高职高专院校招生联盟2025年高职高专分类考试招生联合测试对口招生考试职业技能测试试题(样题)。
六、试题编制要求
按照考试的要求和范围编制试题,试题编制应当符合考试目标要求,充分考虑中职学生的学业实际,做到科学、合理;题意明确、文字通顺、表述准确严密;标点符号无误、图表绘制规范;不出现政治性、科学性错误;避免学术上有争议的问题;不出偏题、怪题和没有考查意义的题目。试题具有较高的信度效度、必要的区分度和适当的难度,题目的答案应准确、规范。
命题小组组长按测试的要求和范围审定试题及组配试卷。每份试卷要覆盖测试的范围,杜绝出现政治性、科学性、公平性、规范性问题。组配的试卷要使不同能力层次试题的分数和不同难易程度试题的比例适当。
本次测试应组配出两套试卷,分A、B两份试题,由测评工作领导小组随机确定考试试卷。
附件:1.2025年广西高职高专分类考试招生联合测试对口
招生考试文化素质测试试题(样题)
2.2025年广西高职高专分类考试招生联合测试对口
招生考试职业技能测试试题(样题)
附件1
2025年广西高职高专分类考试招生联合测试对口招生考试文化素质测试试题(样题)
说明:
1.本测试包括语文、数学、英语三部分内容。
2.本测试全部采用标准化试题,共69题,满分300分。
3.对口招生《文化素质测试+职业技能测试》考试时间共120分钟。
一、语文(本大题共23题,共100分)
(一)选择题:共19小题,每小题4分,共计76分。每小题给出的四个选项中,只有一个选项是正确的,请选出你认为正确的选项并填涂在答题卡相应的位置上。
1.下面各组词语中加点的字,读音完全正确的一项是()。
A.绯红(fēi)教诲(huì)解剖(pāo) 深恶痛绝(wù)
B.鲜腴(yú)窒息(shì)匿名(nì) 恹恹欲睡(yān)
C.丘壑(hè)濒临(pín)纤维(xiān) 惟妙惟肖(xiāo)
D.喧嚣(xiāo)遒劲(jìng)畸形(jī) 无动于衷(zhōng)
2.下列句子中没有错别字的一项是()。
A.时光在不知不觉间流逝了。
B.在去西天取经的路上,孙悟空降服了许多妖怪。
C.正确与错误之间的界线,有时并不是一下子就能分辨清的。
D.站在山腰俯视,山角上的村落尽收眼底。
3.下列标点符号使用不正确的一项是()。
A.他身材高大;脸色清白,皱纹间时常夹些伤痕;一脸乱蓬蓬的花白胡子。
B.刮风了。是的。
C.“鞠躬尽瘁,死而后已”正好准确地描述了他的一生。
D.我推开教室门,看见一个小姑娘,只有八、九岁光景。
4.下列各句中加点成语使用恰当的一项是()。
A.本来藏在叶子底下的那盏路灯格外明亮,马路豁然开朗,像拓宽了几尺。
B.为了大桥的早日建成通车,工程技术人员处心积虑地克服了许多困难。
C.自私者只记得“为己”二字,在他们看来,舍己救人,公而忘私的行为是不可思议的。
D.银杏树根深蒂固,抗风力很强,是扩大绿化面积,治理山河的优良树种。
5.下列句子没有语病的一句是()。
A.作为战地记者,他只说普通人的故事,尤其是那些被迫承受战争冲突和恐惧的孩子们的故事。
B.如果我能帮助他们把那些信息传递给世界,那么就可能达成某种解决办法。
C.网络售假行为愈演愈烈,会上专家分析网络售假的行为,引起人们的广泛关注。
D.她的创新设计为公司带来了丰厚的利润,她为这项设计付出的努力和取得的成绩终于得到了回报。
6.以“两袖清风存正气”为上句,能与之组成对联的最恰当的一项是()。
A.万紫千红总是春 B.一间陋室透书香
C.一身正气存人间 D.三生有幸结良师
7.依次填入下列句子横线处的词语,恰当的一项是()。
(1)母亲一生始终未离开武陵山区,我也随着她和父亲在武陵山水间。
(2)远眺试飞机场,天地混为一体,这就是“彩虹”无人机的起点,更是放飞梦想的舞台。
(3)虽然从客观规律上看,治霾难,但就紧迫性而言,治霾还必须得只争朝夕。
A.漂流遨游一步登天B.转移遨游一蹴而就
C.散步翱翔一步登天D.辗转翱翔一蹴而就
8.依次填入下面横线上的语句,顺序最恰当的是()。
我们走进了一座美丽的小城。。
①白砖绿瓦的屋舍悠然地倒映在水中。
②走出小城,郊外风景幽美,绿色的丘陵上长满了松树。
③城中有一条小河流过,河水清澈见底。
④丛生的柳树散布在山丘脚下。
A.④②①③B.④②③①
C.③①②④D.①②④③
9.下面诗句从描写的季节来看,正确的一项()。
落红不是无情物,化作春泥更护花。
A.晚秋B.暮春C.盛夏D.严冬
10.读《中国互联网络发展状况统计表》,分析表格所透露的信息有错误的一项是()。
年份 | 2016年 | 2017年 | 2018年 |
网民数量(单位:万人) | 73125 | 77198 | 82851 |
互联网普及率 | 53.2% | 55.8% | 59.6% |
移动互联网接入流量(单位:亿GB) | 93.8 | 246.0 | 711.1 |
网民男女比例 | 52.4: 47.6 | 52.6: 47.4 | 52.7: 47.3 |
A.2018年,我国网民规模达8.29亿,比较2017年新增网民5653万人。
B.近三年,移动互联网接入流量大幅度增长,说明手机网民在逐年增多。
C.近三年,男网民占比在增加,女网民占比却在减少。
D.值得关注的是,互联网娱乐正在不断繁荣,并且进入了规范发展轨道。
阅读下面文字,回答第11-12题。
卢永根,中国科学院院士,华南农业大学教授。种得桃李满天下,心唯大我育青禾。是春风,是春蚕,更化作护花的春泥。热爱祖国,你要把自己燃烧。稻谷有根,深扎在泥土,你也有根,扎根在人们心里。
——摘自《2017年十大感动人物颁奖词》
11.文中划线的句子主要使用的修辞方法是()。
A.借代B.拟人C.排比 D.比喻
12.下列对原文的理解和分析,不正确的一项是()。
A.“种得桃李满天下,心唯大我育青禾”概括了卢永根的工作业绩。
B.“你也有根,扎根在人们心里”说明人们永远记住卢永根的先进事迹。
C.卢永根不忘初心,隐忍坚守,对待学生和同事像兄弟一样亲切。
D.卢永根热爱祖国,把自己的全部才能和精力都奉献给祖国。
阅读下面的文言文,完成第13-15题。
北山愚公者,年且九十,面山而居。惩山北之塞,出入之迂也。聚室而谋曰:“吾与汝毕力平险,指通豫南,达于汉阴,可乎?”杂然相许。其妻献疑曰:“以君之力,曾不能损魁父之丘,如太行、王屋何?且焉置土石?”杂曰:“投诸渤海之尾,隐土之北。”遂率子孙荷担者三夫,叩石垦壤,箕畚运于渤海之尾。邻人京城氏之孀妻有遗男,始龀,跳往助之。寒暑易节,始一反焉。
——节选自《列子》
13.下列加点的字,在文中解释不正确的一项是()。
A.年且九十且:将近
B.惩山北之塞塞:边远
C.投诸渤海之尾诸:相当于“之于”
D.始一反焉反:通“返”,往返
14.下列句中“于”的用法和意义与例句完全相同的一项是()。
例句:达于汉阴,可乎?
A.箕畚运于渤海之尾B.苟全性命于乱世,不求闻达于诸侯
C.冰,水为之,而寒于水D.生于忧患,死于安乐
15.下列对“年且九十”的解释,正确的一项是()。
A.年关已过九十天 B.年纪超过九十岁了
C.过年还有九十天D.年纪快到九十岁了
16.……
17.……
18.……
19.……
(二)选择题:共4小题,每小题6分,共计24分。每小题给出的四个选项中,有多项符合题目要求,请选出你认为正确的选项并填涂在答题卡相应的位置上。全部选对得6分,选对但不全的得部分分,不选或有选错的得0分。
20.下列运用拟人修辞手法的句子并且表达效果良好的是()。
A.秋天又迈着沉稳的脚步款款地向我们走来。悄无声息地走开。
B.顽皮的雨滴最爱在雨伞上尽情地跳舞。
C.宁静的夜晚,只有那天上的星星正在窃窃私语。
D.他像一只勤劳的小蜜蜂,在知识的花丛中不知疲倦地采集着花粉。
21.以下对诗歌体裁判断正确的是()。
A.《将进酒》是乐府诗
B.《雨巷》是现代自由诗
C.《登高》是七言律诗
D.《木兰诗》是五言绝句
22.以下对古代文学作品主题思想的理解,正确的有()。
A.《论语》主要记载孔子及其弟子的言行,体现了儒家的思想理念,如“仁”“礼”等。
B.《孟子》宣扬“仁政”思想,强调民贵君轻。
C.《史记》是纪传体通史,通过众多历史人物的事迹展现了历史的变迁和发展,具有很高的史学和文学价值。
D.陶渊明在《桃花源记》中描绘了一个真实存在的村落,介绍当地的风土人情,强调了归隐田园的乐趣,是对田园生活的赞美。
23.……
数学(本大题共23题,共100分)
(一)选择题:共19小题,每小题4分,共计76分。每小题给出的四个选项中,只有一个选项是正确的,请选出你认为正确的选项并填涂在答题卡相应的位置上。
1.下列函数是偶函数的是()。
A.

B.

C.

D.

2.不等式

的解集为()。
A.

B.

C.

D.

3.从9道选择题和3道填空题中任选一道进行解答,不同的选择方法有()。
A.10种B.12种
C.13种D.14种
4.下列各函数中,不是指数函数的是()。
A.y=


B.y=2x
C. y=


D. y=2-x
5.若

为

的内角,则下列函数中一定取正值的是()。
A.

B.

C.

D.

6.在等比数列

中,若

,前3项和

,则公比

的值为()。
A.1B.

C.1或

D.

或

7.已知向量

,

,若

与

垂直,则实数

的值为()。
A.

B.

C.

D.

8.若直线

过点

且与直线

垂直,则

的方程为()。
A.

B.

C.

D.

9.如图1,直线

将矩形纸

分为两个直角梯形

和

,将梯形

沿边

翻折,如图2,在翻折的过程中(平面

和

不重合),下面说法正确的是()。

A.存在某一位置,使得

平面

B.存在某一位置,使得

平面

C.在翻折的过程中,

平面

恒成立
D.在翻折的过程中,

平面

恒成立
10.在微信群的某次抢红包活动中,所发红包被随机地分配为

元,

元,

元,

元,

元共五份,每人只能抢一次,若红包抢完时,则其中小红、小强两人抢到红包金额之和不少于

元的概率是()。
A.

B.

C.

D.

11.……
12.……
13.……
14.……
15.……
16.……
17.……
18.……
19.……
(二)选择题:共4小题,每小题6分,共计24分。每小题给出的四个选项中,有多项符合题目要求,请选出你认为正确的选项并填涂在答题卡相应的位置上。全部选对得6分,选对但不全的得部分分,不选或有选错的得0分。
20.下列哪些图形是轴对称的?()
A.等边三角形
B.平行四边形
C.正方形
D.圆形21.下列哪些选项是正确的三角恒等式?()
A.

B.

C.

D.

22.……
23.……
三、英语(本大题共23题,共100分)
(一)选择题:共19小题,每小题4分,共计76分。每小题给出的四个选项中,只有一个选项是正确的,请选出你认为正确的选项并填涂在答题卡相应的位置上。
1.—Whois in the office?
—Mr.Smith. He a report now.
A.writesB.wrote
C.iswritingD.waswriting
2.—Whatare you doing over there, dad?
—I.
A.readB.reads
C.amreadingD.isreading
3.—Couldyou please help me _____ my dog when I am away on holiday?
— Sure.
A.lookatB.lookafter
C.lookforD.looklike
4.Ilike cooking. I want to be a _____.
A.teacherB.doctor
C.repairmanD.cook
5.Whichsign means "No smoking"?_____
A.

B.

C.

D.

阅读理解,完成第6-10题。
Readers(朗读者)isa popular TV show in China. Itinvites different people to read aloud on the stage. The show alsotells the moving stories behind those people. They can readeverything like poems, books, and letters. By reading aloud, thewords on the paper come to life. Many people arefans of the show.They begin to enjoy reading at home. Now the show gives people aspecial place to read across China. It is a reading pavilion(朗读亭).Itshowed up in many cities, including Shanghai, Hangzhou and Xi’an.
Thepavilion is not very big. Only one person can come into it each time.There is a microphone in it and it records peoples’ voices.Everyone can read for three minutes in the pavilion. They can readanything they like. The show will pick some of the readers and invitethem to read on TV.
Peopleof all ages read in the pavilion.“Readingshould be just like singing and talking,” said Dong Qing, thehost and producer of the show.“Wecan express our true feeling by reading aloud.”
6.Whatis the passage mainly about? _____
A.ATV show in the US.B.ATV show in China.
C.Areader in the US.D.Areader in the China.
7.Theshow invitesdifferent people to ______ on thestage.
A.watchfilmsB.laughaloud
C.playgamesD.readaloud
8.Whatdo the underlined words "arefans of" meanin Paragraph 1?_____
A.loveB.see
C.hateD.record
9.Accordingto the host of the show,reading should be just like ______.
A.thinkingand writingB.singingand talking
C.thinkingand makingD.singingand dancing
10.______is the host andproducer of the show.
A.WangXiaoya.B.ZhouTao.
C.DongQing.D.NiPing.
11.……
12.……
13.……
14.……
15.……
16.……
17.……
18.……
19.……
(二)选择题:共4小题,每小题6分,共计24分。每小题给出的四个选项中,有多项符合题目要求,请选出你认为正确的选项并填涂在答题卡相应的位置上。全部选对得6分,选对但不全的得部分分,不选或有选错的得0分。
20.Thecorrect expressions to greet a foreign teacher can be().
A.How are you today?
B.How's your day?
C.What do you do?
D.What is it?
21.Whenyour friend thanks you for your help you can respond(回应)himby saying ().
A.You are welcome.
B.I’ m happy.
C.That's ok.
D.I’m sorry for what I did.
22.……
23.……
附件2
2025年广西高职高专分类考试招生联合测试
对口招生考试职业技能测试试题(样题)
说明:
1.本测试包括学习能力、语言表达能力、分析推理能力、技术技能操作能力四部分内容。
2.本测试全部采用标准化试题,共32题,满分为300分。
3.对口招生《文化素质测试+职业技能测试》考试时间共120分钟。
一、学习能力(本大题共11题,共100分)
(一)选择题:共8小题,每小题8分,共计64分。每小题给出的四个选项中,只有一个选项是正确的,请选出你认为正确的选项并填涂在答题卡相应的位置上。
1.在垃圾分类中,可回收物主要包括废纸、塑料、玻璃、金属和布料五大类,以下垃圾中属于可回收物的是()。
A.图书B.电池
C.纸巾D.水银温度计
2.如果要学习秦始皇为什么要修筑万里长城,三国鼎立是指哪三个国家,郑和为什么要下西洋等相关的知识,对学习目标描述最准确的是()。
A.学习世界历史知识B.学习中国古代历史知识
C.学习中国传统文化D.学习汉代历史知识
3.我们都听说过“乌鸦喝水”的故事,瓶子的水少,乌鸦就用旁边随处可见的石子放在瓶子里,最后使自己喝到了水。这说明人们在利用有限的资源取得成功的时候,最重要的是要善于()。
A.学习成功经验B.提高工作效率
C.做好思想准备D.运用方法和工具
4.本题后面列的哪一项应接在“X0 0 0 0 X X 0 0 0 X X X”的后面。()
A.X0 X 0 B.00 X C.0X X D.00
5.下面关于学习能力的描述,不正确的是()。
A.学习能力是天性习得,所以学习能力的强弱是由智商决定的
B.拥有学习能力的人,可以把获取到的准确的知识和信息转化为自身能力
C.学习能力必须通过一定的学习实践才能形成和发展
D.学生要通过教师的指导来掌握科学的学习方法,从而提高学习能力
6.按下列诗词所描写的一年中的节日的先后顺序,排列正确的是()。
①清明时节雨纷纷,路人行人欲断魂
②离别一何久,七度过中秋
③年年端午风兼雨,似为屈原陈昔冤
④爆竹声中一岁除,春风送暖入屠苏
A.①②③④
B.④①②③
C.④①③②
D.①③②④
7.进入互联网时代,发电子邮件是不可少的,一般而言,发电子邮件包括以下几个步骤:a.打开电子信箱;b.输入发送地址;c.输入主题;d.输入信件内容;e.点击“写邮件”;f.点击“发送邮件”。正确的步骤是()。
A.a→b→c→d→e→f
B.a→c→d→f→e→b
C.a→e→b→c→d→f
D.b→a→c→d→f→e
8.人讲举一反三、触类旁通,意思是掌握某种知识后,能把这些知识应用于相似的或有联系的工作岗位及工作任务中去,实现学习的迁移。当然,迁移有正迁移和负迁移之分,下面哪些现象不属于正迁移?()
A.学习钢琴的人再来学习电子琴
B.学习汉语拼音的人再去学习英语
C.学习数学的人再去学习经济学
D.学习英语的人再来学习法语
(二)选择题:共3小题,每小题12分,共计36分。每小题给出的四个选项中,有多项符合题目要求,请选出你认为正确的选项并填涂在答题卡相应的位置上。全部选对得12分,选对但不全的得部分分,不选或有选错的得0分。
9.寓言是用比喻性的故事寄寓意味深长的道理的文学作品,带有讽刺或劝诫的性质。以下成语中属于寓言故事的是()。
A.女娲补天B.自相矛盾C.亡羊补牢D.三顾茅庐
10.如果想通过获取人文知识来提高人文素养,那么以下书籍中可以选择阅读的是()。
A.《三国演义》B.《史记》C.《乡土中国》D.《朝花夕拾》
11.……
二、语言表达能力(本大题共11题,共100分)
(一)选择题:共8小题,每小题8分,共计64分。每小题给出的四个选项中,只有一个选项是正确的,请选出你认为正确的选项并填涂在答题卡相应的位置上。
1.在今天的商业世界中,供过于求是普遍现象。为了说服顾客购买自己的产品,大规模竞争就在同类商品的生产企业之间展开了,他们得经常设法向消费者提醒自己产品的名字和优等的质量,这就需要靠广告。
对这段文字概括最恰当的是()。
A.广告是商业世界的必然产物
B.各商家之间用广告开展竞争
C.广告就是要说服顾客买东西
D.广告是经济活动中供过于求的产物
2.给下面语句排序,衔接恰当的一项是()。①因为较弱的电磁辐射,也会对人的神经系统与心血管系统产生一定的干扰。②人的大脑和神经会产生微弱的电磁波,当周围电器发出比它强数百万倍的电磁波时,人的神经活动就会受到严重干扰。③即使在不太强的电磁场环境中工作和生活,人也会受到影响。④如果长时间处于这种强电磁波的环境中,人会出现头痛、注意力不集中、嗜睡等症状,强电磁辐射会使心血管疾病加重、神经系统功能失调。 A.④①②③ B.②③①④ C.④③②① D.②④③①
3.牛的可贵之处,即在活着的时候,就不知疲倦地供人役使,死后则把全身献给社会。牛对于社会真是“鞠躬尽瘁,死而后已”。这段话支持了的观点是()。
A.牛是不知疲倦的动物
B.牛是农民的宝贝
C.牛是社会的财富
D.牛是奉献精神的象征
4.下列各句中,表达得体的是()。
A.真是事出意外!舍弟太过顽皮,碰碎了您家这么贵重的花瓶,敬请原谅,我们一定照价赔偿。
B.他的书法龙飞凤舞,引来一片赞叹,但落款却出了差错,一时又无法弥补,只好连声道歉:“献丑,献丑!”
C.他是我最信任的朋友,头脑灵活,处事周到,每次我遇到难题写信垂询,都能得到很有启发的回复。
D.由于路上堵车非常严重,我赶到约定地点的时候,对方早已恭候多时。
5.……
6.……
7.……
8.……
(二)选择题:共3小题,每小题12分,共计36分。每小题给出的四个选项中,有多项符合题目要求,请选出你认为正确的选项并填涂在答题卡相应的位置上。全部选对得12分,选对但不全的得部分分,不选或有选错的得0分。
9.关于以下文学作品语言风格分析正确的是()。
A.李白的诗风豪放飘逸,如“飞流直下三千尺,疑是银河落九天”,想象奇特,气势磅礴。
B.柳永的词多婉约细腻,“今宵酒醒何处?杨柳岸,晓风残月”,情感含蓄,意境凄美。
C.鲁迅的杂文语言犀利深刻,如“不在沉默中爆发,就在沉默中灭亡”,直刺社会黑暗。
D.沈从文的《边城》语言具有地方特色(湘西方言特色),华丽夸张,充满诗性。
10.下列句子表意准确的是()。
A.我大约在晚上七点左右能完成作业
B.他的年龄大概是十五岁上下
C.我肯定明天下午三点会准时到达
D.他明确表示愿意参加这次活动
11.……
三、分析推理能力(本大题共5题,每题10分,共计50分。每题给出的四个选项中,只有一个选项是正确的,请选出你认为正确的选项并填涂在答题卡相应的位置上。)
1.井冈山:红色摇篮,请据此选出逻辑关系最为匹配的一项是()。
A.延安:革命圣地B.庐山:瀑布
C.华山:险峻D.广西:壮族自治区
2.商场有一个活动,先旋转转盘指针。如果指针停在奇数的位置,玩家就可以从袋子抽出一个弹珠。转盘和袋子里的弹珠如下图所示,如果抽到黑色的弹珠就能得到奖品,小明试了一次,请问他得到奖品的可能性为何?()

A.不可能B.不太可能
C.非常可能D.一定可以
3.有五个学生:甲、乙、丙、丁、戊,他们的学习成绩的关系为:丙没有丁好,甲没有乙好,戊好于丁,而乙不如丙好。请问五位学生成绩从高到低排序是()。
A.甲乙丙丁戊B.乙戊丁丙甲
C.丁丙乙甲戊D.戊丁丙乙甲
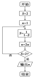
4.阅读如图所示的程序框图,运行相应的程序,输出的结果是()。

A.2 B.4 C.8 D.16
5.如果生物要生存,就需要进行呼吸运动;乳酸菌是一种生物,可以在无氧条
件下生存。根据以上描述,可以推断()。
A.有的生物在无氧条件下可以进行呼吸运动
B.乳酸菌是一种不需要呼吸的生物
C.乳酸菌在无氧条件下不能呼吸
D.能在无氧条件下生存的生物为数不多
四、技术技能操作能力(本大题共15题,请选择其中5题进行作答,每题10分,共计50分。每小题给出的四个选项中,只有一个选项是正确的,请选出你认为正确的选项并填涂在答题卡相应的位置上。)
1.下列常用电工工具中,不具有绝缘套管的是()。
A.钢丝钳B.尖嘴钳C.剥线钳D.活络扳手
2.正确使用验电笔的方法是()。
A.手只接触测电笔的绝缘外壳
B.手只接触笔尾的金属体
C.手要接触笔尾的金属体(确保安全),用笔尖接触被测物体
D.手要接触笔尖的金属体
3.根据立体图绘制主视图,箭头指向为主视方向,下图中正确的是()。
|
4.用砂轮机磨削工件时,应在砂轮机转速()后进行。
A.加速 B.减速 C.停止 D.正常
5.使用锉刀时不能()。
A.推锉 B.来回锉 C.单手锉 D.双手锉
6.要求两轴中心距较大,且为低速、重载和高温等场合下工作,宜选用()。
A.带传动B.链传动 C.螺旋传动D.齿轮传动
7.可避免引起机械伤害的做法是()。
A.转动部位停稳前操作B.跨越运转的机轴
C.旋转物件上不得放置物品D.旋转部件上可放少量工具
8.用扳手转动螺栓时,顺时针为(),逆时针为()。
A.拧松拧紧 B.拧紧拧松 C.拧松拧松 D.以上都不正确
9.在数字电路中,或逻辑运算,1+1=()。
A.0 B. 1 C. 2 D. 10
10.叉车载货下坡时应()。
A.倒车行驶 B.加速行驶 C.正常行驶 D.减速行驶
11.出纳人员根据审核无误的原始凭证(价值50元),在办理付款业务时,应在付款原始凭证上签字并加盖()章。
A.现金收讫 B.现金付讫 C.银行收讫 D.银行讨讫
12.一些B2B网站的后台都设有新闻发布功能,便于优化人员在商铺中发布企业或产品新闻。这属于软文传播路径中纵向传播的哪一种()。
A.内页路径 B.论坛路径 C.软文路径 D.商铺路径
13.物流派件时客户未签字,快递员回到营业网点后()代替客户签字。
A.必须 B.一般可以 C.有时不可以 D.不可以
14.餐饮服务中,为客人撤下筷套时,以下行为正确的是()。
A.无需为客人撤筷套B.直接上前为客人撤筷套
C.用手势或语言提醒客人D.请客人把筷套递给自己
15.洗手时保育员为幼儿卷袖不当、用力过猛容易造成关节()。
A.骨折 B.紧张 C.脱臼 D.松弛
—1—
高招云直播
