1月23日,我省发布了《青海省2025年普通高等学校考试招生录取工作实施方案》(以下简称《录取方案》,详见青海省教育考试网-普通高考栏目:https://www.qhjyks.com)。为帮助大家全面学习、系统了解和准确把握主要内容,现就有关问题解读如下。
一、制定《录取方案》的背景和目的是什么?
青海省为第五批高考综合改革八省区之一。根据《国务院关于深化考试招生制度改革的实施意见》、教育部有关规定和我省普通高等学校考试招生综合改革实施方案精神,从2022年秋季入学的普通高中一年级学生开始,我省普通高校招生依据全国统一考试科目(以下简称全国统考科目)和我省普通高中学业水平选择性考试科目(以下简称选考科目),参考学生综合素质评价,择优录取考生。在充分借鉴了第三批、四批改革省份经验做法的基础上,按照有利于促进学生健康发展、有利于高校科学选拔人才、有利于维护社会公平的原则,结合我省实际,制定了《录取方案》。
二、我省2025年普通高校招生考试模式和科目是什么?
自2025年起,我省普通高考采用“3+1+2”考试模式。考生须参加语文、数学、外语(含英语、俄语、日语、德语、法语、西班牙语)3门全国统考科目和我省选考科目。选考科目包括历史、思想政治、地理、物理、化学、生物学共6门,考生首先在历史、物理2科中自主选择1科作为首选考试科目,然后在思想政治、地理、化学、生物学4科中自主选择2科作为再选考试科目。艺术类或体育类考生,须按要求参加艺术类或体育类专业省级统考。全国统考科目由教育部命题,选考科目由我省自主命题。
三、考生报考科类有哪些?
2025年我省普通高校招生考试分为普通类、艺术类、体育类。考生报考科类不分文、理科,根据考生报考的首选科目,分成历史和物理科目组。
四、2025年全国统考数学科目有哪些变化?
2025年全国统考数学科目,不再分文科数学和理科数学,对所有首选历史或物理的考生均使用同一套试题、同一张试卷考试。
五、我省2025年统一高考时间如何安排?
全国统考科目考试时间按照教育部安排进行,选考科目与全国统考科目同步进行,考试时间安排在6月7日至10日。语文科目考试时长为150分钟,数学、外语科目(含听力部分)考试时长为120分钟,选考科目考试时长均为75分钟。民族语文(藏语文、蒙古语文)科目考试时长为150分钟。具体考试时间安排如下:

六、我省2025年普通高考民族语文考试怎么组织?
2025年普通高考报名时选择了参加民族语文(藏语文、蒙古语文)考试的考生,在“3+1+2”考试科目结束后,继续参加全省统一组织的民族语文考试。
7、我省2025年高考文化课成绩是如何构成的?
普通类、艺术类、体育类考生高考文化课成绩由3门全国统考科目成绩和3门选考科目成绩组成,满分750分。其中,全国统考科目每门满分150分、选考科目每门满分100分。语文、数学、外语3门全国统考科目和考生首选的历史或物理科目以卷面原始分数呈现;考生再选的思想政治、地理、化学、生物学科目以等级赋分分数呈现。
首选历史的考生文化课成绩:语文+数学+外语+历史+考生所选的2门再选科目。
首选物理的考生文化课成绩:语文+数学+外语+物理+考生所选的2门再选科目。
8、我省2025年普通高考民族语文考试成绩怎么使用?
2025年在青招生高校继续编制高校少数民族语言授课专业计划(简称“民考民”计划),继续实行单列计划、单独划线、单独投档。我省在普通高中选修了民族语文地方课程,并参加了学业水平合格性考试,且达到合格标准的考生,可选择填报“民考民”计划,也可以选择填报普通类计划。民族语文科目满分150分。报考“民考民”计划时,语文和民族语文各按50%计入高考总分,投档计分方法为:(语文+民族语文)÷2+数学+外语+首选科目1科+再选科目2科+政策性照顾加分分值。报考普通类计划时,按照“3+1+2”考试成绩投档录取。
9、2025年中国少数民族汉语水平等级考试(MHK)退出普通高考后,我省怎样保障选修民族语文课程考生的升学机会总体稳定?
2025年,MHK退出高考,所有考生须参加语文科目考试。为保障选修了民族语文地方课程,并参加了学业水平合格性考试,且达到合格标准的考生高校升学机会总体稳定,设立专项计划,实现“确保少数民族考生招生计划不减、录取率不降低”的目标任务。
10、我省艺术类考生高考投档成绩是如何构成的?
(1)使用省级统考成绩的高校艺术类专业:
播音与主持类投档成绩=(高考文化课成绩+政策性照顾加分分值)×0.7+(专业成绩÷专业满分300分)×750×0.3,结果四舍五入不保留小数点。
美术与设计类、音乐类、舞蹈类、表(导)演类、书法类投档成绩=(高考文化课成绩+政策性照顾加分分值)×0.5+(专业成绩÷专业满分300分)×750×0.5,结果四舍五入不保留小数点。
(2)使用校考成绩的高校艺术类专业:
将填报相关志愿且高考文化课成绩、省级统考成绩及校考成绩均符合条件的考生信息提供给招生院校,由招生院校按照有关规定录取。
(3)使用戏曲类省际联考成绩的高校艺术类专业:
将填报相关志愿且高考文化课成绩、戏曲类省际联考成绩均符合条件的考生信息提供给招生院校,由招生院校按照有关规定录取。
11、为什么首选科目原始成绩可以计入高考总分?
新高考改革实施后,普通高校招生时对首选科目选择历史或物理的考生分别进行排队。选择历史或物理的考生将使用同一试卷,考生群体相同,成绩具有可比性,因此可使用原始分计入高考总成绩。
12、为什么再选科目需实施等级赋分进行分数转换?
首选科目相同的考生,由于4门再选科目存在着不同学科试题难易不同、考生规模不同、成绩分布不同等情况,使得考生再选科目原始成绩不具有可比性。例如,考生甲和考生乙首选科目均选择了物理,考生甲再选科目选择了思想政治,考生乙再选科目选择了生物学,虽然两人再选科目都考了80分,但考生甲排在所有选考思想政治考生的第1000名,考生乙排在所有选考生物学考生的第100名,此时若简单将两位考生各科原始成绩相加计入高考总成绩并进行比较,既不公平也不科学。因此,需要采用等级赋分将再选科目原始分进行转换后得到转换分数(分数转换后不影响考生再选科目原始分排序),以解决再选科目原始分不具可比性的问题。
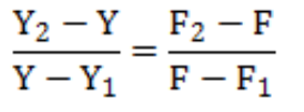
13、考生的等级赋分是怎么计算的?
我省等级赋分转换公式为:

其中,Y表示某考生的原始分数;Y1、Y2分别表示原始分区间的最低分和最高分;F表示该考生的等级赋分分数;F1、F2分别表示赋分区间的最低分和最高分。
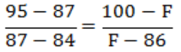
例如,考生某再选科目考试原始分数为87分,划分至A等级。当年该学科A等级原始分区间为95~84分,赋分区间为100~86分,那么该生的等级分为:

解得,F≈89.82。经计算四舍五入取整后,考生该学科的等级赋分分数为90分。
14.我省普通高考招生计划如何编制?
我省普通高校招生分为普通类、艺术类、体育类三个类别。所有类别招生计划按照首选历史、物理科目组合分别编制。按照教育部和我省普通高考计划编制原则和要求,在青招生高校以“专业(类)+院校”模式编制计划。艺术类组织省际联考的戏曲类本科专业和少数经批准组织校考的本科专业不编制分省招生计划。
15.各类别录取控制分数线是如何划定的?
(1)普通类。根据考生投档成绩,按照相应本科、高职(专科)层次招生计划数的一定比例,综合考虑成绩分布及生源等因素,按照首选历史、物理科目分别划定普通类本科批次、高职(专科)批次录取控制分数线,并按照首选历史、物理科目划定特殊类型录取控制分数线。
(2)艺术类。按照使用艺术类省级统考专业成绩院校招生计划数的一定比例,综合生源等情况,分别划定艺术类各科类省级统考合格分数线和艺术类本科、高职(专科)文化课录取控制分数线。少数组织校考的高校艺术类专业、戏曲类专业录取控制分数线按教育部有关规定执行。
(3)体育类。按照使用体育类省级统考专业成绩院校招生计划数的一定比例,综合生源等情况,分别划定体育类省级统考专业合格分数线及体育类本科、高职(专科)文化课录取控制分数线。
16.什么是特殊类型录取控制分数线?
特殊类型录取控制分数线是为满足军事院校、空军招飞、强基计划、高校专项计划、高水平运动队等类型招生而单独划定的录取控制分数线。
17.新高考录取批次和志愿如何设置?
(1)普通类。设置本科提前批、本科批、高职(专科)提前批、高职(专科)批4个批次。各批次设置不同的段,实行院校顺序志愿或专业(类)平行志愿。
本科提前批次:包括有政治考核(考察)、面试、体检(军检)、体能测评(试)等特殊要求的军队、公安、司法、消防、公共安全类院校本科专业,高校专项计划、高水平运动队、航海类等艰苦专业、全国重点马克思主义理论专业、定向就业招生、本研衔接公费师范生、国家优师专项、农村订单定向医学生免费培养计划等本科专业,以及其他按教育部规定可纳入提前批次录取的本科招生专业及计划。根据院校专业计划要求,不同段分别设置为院校顺序志愿或专业(类)平行志愿,同一段内只设置一种志愿填报方式。除高水平运动队设置1个院校顺序志愿外,其余院校顺序志愿设置2个院校志愿,专业(类)平行志愿设置60个平行志愿。
本科批次:包括除本科提前批以外的其他本科招生专业及计划(含民族预科班、普通民族班计划、民办本科院校及独立学院招生计划)。设置96个专业(类)平行志愿。
高职(专科)提前批次:包括有政治考核(考察)、面试、体检(军检)、体能测评(试)等特殊要求的及其他按教育部规定可纳入提前批次录取的高职(专科)招生专业及计划。根据院校专业计划要求,不同段分别设置为院校顺序志愿或专业(类)平行志愿,同一段内只设置一种志愿填报方式。其中,院校顺序志愿设置2个院校志愿,专业(类)平行志愿设置60个平行志愿。
高职(专科)批次:除高职(专科)提前批以外的其他高职(专科)招生专业及计划,设置96个专业(类)平行志愿。
(2)艺术类。使用我省艺术类省级统考专业成绩录取的艺术类招生专业计划,设置本科批、高职(专科)批2个批次,每个批次设置60个专业(类)平行志愿。使用校考成绩或使用戏曲类省际联考成绩的本科招生专业计划,设置1个院校顺序志愿,并设置是否服从院校专业调剂选项。
(3)体育类。设置本科批、高职(专科)批2个批次,每个批次设置60个专业(类)平行志愿。
18.平行志愿投档时,考生总分如何排序?
普通类、体育类考生高考投档成绩(含高考文化课成绩和政策性照顾加分分值)相同时,按以下规则排序:依次按考生语文数学两科之和、语文单科成绩、数学单科成绩、外语单科成绩、首选科目单科成绩、再选科目单科最高成绩、再选科目单科次高成绩由高到低排序。
使用省级统考成绩的艺术类考生投档成绩(含高考文化课成绩、专业统考成绩和政策性照顾加分分值)相同时,首先比较高考文化课成绩,若相同再按普通类同分排序规则依次比较,由高到低排序。
19.“专业(类)+院校”志愿模式有何优势?
“专业(类)+院校”模式,是我省新高考改革下的平行志愿填报和录取方式,是以“1个专业(类)+1个院校”为1个志愿,不设是否服从专业调剂选项。
考生可根据兴趣、成绩和职业规划确定报考专业,根据报考专业选择不同高校,也可以确定一所院校,选择该院校的不同专业,每一个专业和该专业所在的院校即为1个志愿,不再调剂到未选择的其他专业。考生填报专业时要注意该专业需与高校选考科目要求相符。
20.普通类为什么不再区分一本、二本?
《国务院关于深化考试招生制度改革的实施意见》明确提出要“创造条件逐步取消高校招生录取批次”。合并本科批次,体现了国家改革的总体方向,能够更好满足高校、考生及社会发展需要。
从考生的角度考虑,有利于进一步增加考生选择范围,引导考生结合个人志向、学科兴趣、个性特长,更理性地选择自己比较心仪的学校和专业,促进考生健康成才成长。
从高中的角度考虑,有利于高中学校破除盲目追求“一本升学率”,促进高中学校更好地立足校情,明确定位,创建校本特色。
从社会的角度考虑,有利于扭转简单用录取批次评价不同类型高校的片面导向,有利于促进高校毕业生平等就业,推动高等教育公平发展。
21.新高考志愿填报与改革前有什么不同?
一是志愿单位的变化。改革前以“院校”为志愿填报单位,1所院校即为1个志愿,考生可以选择该院校6个专业,和是否服从该院校的专业调剂。改革后以“专业(类)+院校”为志愿填报单位,每一个专业和该专业所在的院校即为1个志愿,不会被调剂到未选择的其他专业。
二是平行志愿数量的变化。改革前,实行平行志愿投档的批次(段)设置了12个院校志愿。改革后,“专业(类)+院校”分别设置了60个(本科提前批、高职(专科)提前批)和96个(本科批、高职(专科)批)平行志愿。总体来看,增加了平行志愿数量。
三是填报要求的变化。改革前,考生按照自己所报考的文史类、理工类科类填报相应的院校志愿。改革后,考生按照自己首选的历史类、物理类科目填报志愿。由于增加了院校选考科目要求,考生须按照专业对应的选考科目要求填报。
22.志愿填报时,考生选考科目如何对应高校选考要求?
高校依据教育部有关要求,提前2年提出本校招生专业(类)的选考科目要求,考生应对照高校招生专业(类)的选考科目要求,精准报考。
一是考生的首选科目须符合高校对首选科目的要求。选考历史的考生只能填报历史科目组合下的院校和专业,选考物理的考生只能填报物理科目组合下的院校和专业。
二是再选科目要求。高校对再选科目的要求分为四种:
(1)不提再选科目要求的,符合首选科目要求的考生均可报考;
(2)提出1门再选科目要求的,考生必须选考该科目方可报考。如某校某专业对化学科目提出要求,符合首选科目要求且选考化学的考生才能报考;
(3)提出2门再选科目要求且均须选考的,考生须同时选考这2门科目方可报考。如某校某专业对化学和生物学科目提出要求,符合首选科目要求且同时选考化学和生物学科目的考生才能报考;
(4)提出2门再选科目要求但只需选考其中1门的,考生选考该2门科目中的任意1门即可报考。如某校某专业要求考生选考化学或生物学科目,符合首选科目要求且只要选考科目中有化学或生物学科目的考生即可报考。
考生可通过青海省教育招生考试院编制的《2025年普通高等学校在青招生专业目录》查询2025年在青招生各院校和专业的选考科目要求。
23.如何查询考生位次信息、往年录取情况等参考数据,合理填报志愿?
为方便考生合理填报志愿,青海省教育考试网(https://www.qhjyks.com)将公布2025年考生成绩位次信息。志愿填报期间,青海省教育招生考试院将继续提供志愿填报辅助系统,向考生提供2025年在青招生院校名称、专业(类)名称及选科要求,及近年来高校和各专业在青招生的录取人数、录取分数、招生计划、位次等信息。
24.考生填报志愿时应注意哪些事项?
考生要认真做好填报志愿的准备工作,仔细阅读拟报考高校的招生章程和《2025年普通高等学校在青招生专业目录》,了解有关招生政策和要求。根据自己的成绩、志向、体检结论等,结合招生院校近年来各专业招生录取最低分及排位情况,科学合理填报志愿。考生应增强个人信息安全意识,妥善保管志愿填报等相关密码,不要委托他人填报,对填报志愿信息的真实性和准确性负责。志愿填报完成后一定要及时保存,并在规定的时间内提交。考生填报志愿时务必仔细阅读相关院校的招生章程规定。因未认真阅读院校招生章程,填报了不符合报考条件的志愿,或未按时间要求提交志愿的,导致不能被录取的,责任由考生负责。
考生填报志愿须符合所填高校招生计划类别及专业(类)的选考科目要求。按历史科目组合编制的招生专业,仅允许首选科目为历史的考生填报;按物理科目组合编制的招生专业,仅允许首选科目为物理的考生填报。
考生填报军队、公安、司法、消防、公共安全、定向培养军士、艺术类、体育类、高水平运动队、综合评价招生、高校专项计划、国家专项计划、地方专项计划、民族预科班、普通民族班、定向就业招生计划,还须符合相应的资格条件。
志愿填报安排在高考成绩公布后进行。考生须在规定时间内登录指定网站及志愿填报系统完成填报。
25.志愿填报截止后还可以补报志愿吗?
填报志愿应及时保存,志愿填报截止后,系统将关闭填报功能,不接受补报志愿。因此,考生应合理安排填报时间,尽量避免在临近截止时间前填报。
高招云直播