按照《内蒙古能源职业学院2025年第二次单独招生考试方案》经内蒙古能源职业学院招生委员会审议通过。二次单招考试各科类分数线如下:机电类267分、旅游类267分、汽驾类239分、计算机类281分、幼师类353分、财会类349分、历史类(学考合格)267.25分、历史类(非学考合格)244分、物理类(学考合格)233.25分。
咨询电话:15049134888 18686087747
监督电话:13848912211
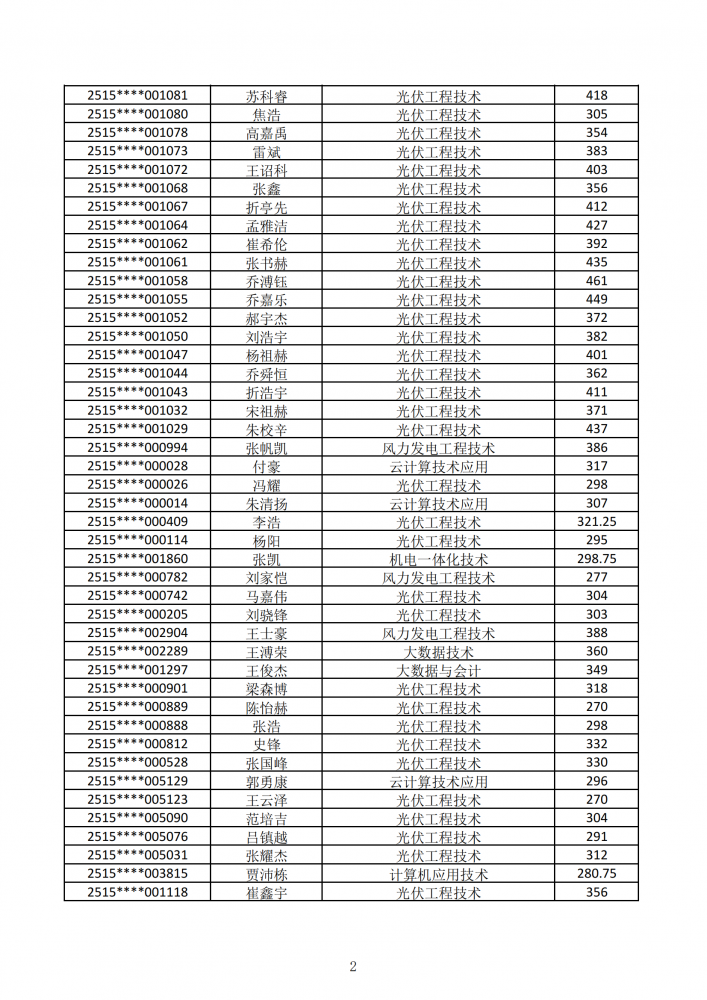
附件:内蒙古能源职业学院2025年第二次单独招生考试拟录取名单





按照《内蒙古能源职业学院2025年第二次单独招生考试方案》经内蒙古能源职业学院招生委员会审议通过。二次单招考试各科类分数线如下:机电类267分、旅游类267分、汽驾类239分、计算机类281分、幼师类353分、财会类349分、历史类(学考合格)267.25分、历史类(非学考合格)244分、物理类(学考合格)233.25分。
咨询电话:15049134888 18686087747
监督电话:13848912211
附件:内蒙古能源职业学院2025年第二次单独招生考试拟录取名单





扫码下载APP
手机扫一扫下载APP