根据《上海体育大学2025年运动训练、武术与民族传统体育、足球运动专业招生简章》要求,现将拟录取情况及拟录取名单进行公示。公示期为2025年5月23日至5月29日。公示期间如有异议请在工作时间(工作日9:00-11:00;14:00-16:00)以书面形式实名提出,逾期不予受理。正式录取名单以教育部、国家体育总局及各省招生考试机构审核通过为准。
如有考生弄虚作假或发生考试违规行为,一经查实,将依据《国家教育考试违规处理办法》(教育部33号令)和《普通高等学校招生违规处理办法》(教育部36号令)等文件要求,取消其当年运动训练、武术与民族传统体育、足球运动专业报考或录取资格;已入学者,取消其入学资格;构成犯罪的,依法追究刑事责任。
招生办公室电话:021-65506886,邮箱:zb@sus.edu.cn
纪委(监察专员办公室)电话:021-65508317,邮箱:jw@sus.edu.cn
附件:
1.上海体育大学2025年体育单招一志愿拟录取情况汇总表
2.上海体育大学2025年体育单招一志愿拟录取名单
附件1:上海体育大学2025年体育单招一志愿拟录取情况汇总表
序号 | 招生专业 | 大项 | 性别 | 小项 | 招生计划数 (不含优秀 运动员保送) | 一志愿 拟录取数 | 末位一志愿拟录取考生对应成绩 | ||
综合分 | 体育 专项成绩 | 文化成绩 | |||||||
1 | 运动训练 | 田径 | 不分 | 径赛 | 15 | 15 | 83.65 | 100 | 273 |
2 | 运动训练 | 田径 | 不分 | 田赛 | 4 | 3 | 75.6 | 91 | 238 |
3 | 运动训练 | 游泳 | 不分 | 游泳 | 18 | 18 | 86.1 | 94.5 | 399 |
4 | 运动训练 | 篮球 | 男 | 篮球 | 16 | 16 | 72 | 83.6 | 269.5 |
5 | 运动训练 | 篮球 | 女 | 篮球 | 10 | 10 | 72.51 | 75.23 | 397 |
6 | 运动训练 | 排球 | 男 | 非自由人 | 6 | 6 | 79.38 | 85.4 | 392 |
7 | 运动训练 | 排球 | 男 | 自由人 | 1 | 1 | 77.62 | 83.7 | 380.5 |
8 | 运动训练 | 排球 | 女 | 非自由人 | 6 | 6 | 76.34 | 79.7 | 411 |
9 | 运动训练 | 排球 | 女 | 自由人 | 1 | 1 | 80.05 | 88.5 | 362 |
10 | 运动训练 | 沙滩排球 | 男 | 沙滩排球 | 0 | 0 | / | / | / |
11 | 运动训练 | 沙滩排球 | 女 | 沙滩排球 | 1 | 1 | 77.67 | 84.1 | 376 |
12 | 运动训练 | 乒乓球 | 男 | 乒乓球 | 16 | 16 | 73.54 | 84.17 | 292.5 |
13 | 运动训练 | 乒乓球 | 女 | 乒乓球 | 14 | 14 | 73.04 | 77.92 | 370 |
14 | 运动训练 | 羽毛球 | 男 | 羽毛球 | 8 | 8 | 80.77 | 91.35 | 336.5 |
15 | 运动训练 | 羽毛球 | 女 | 羽毛球 | 2 | 2 | 80.84 | 92.3 | 324.5 |
16 | 运动训练 | 网球 | 男 | 网球 | 5 | 5 | 71.98 | 84.4 | 258.0 |
17 | 运动训练 | 网球 | 女 | 网球 | 2 | 2 | 83.85 | 100 | 277 |
18 | 运动训练 | 手球 | 男 | 非守门员 | 6 | 6 | 84.4 | 89.07 | 441.0 |
19 | 运动训练 | 手球 | 男 | 守门员 | 1 | 1 | 87.07 | 92.67 | 444.0 |
20 | 运动训练 | 手球 | 女 | 非守门员 | 6 | 6 | 84.55 | 93.6 | 380.5 |
21 | 运动训练 | 手球 | 女 | 守门员 | 1 | 1 | 84.94 | 91.73 | 414.5 |
22 | 运动训练 | 橄榄球 | 男 | 橄榄球 | 5 | 5 | 86.27 | 91.7 | 441.5 |
23 | 运动训练 | 橄榄球 | 女 | 橄榄球 | 5 | 5 | 78.76 | 87.3 | 353 |
24 | 运动训练 | 高尔夫球 | 不分 | 高尔夫球 | 4 | 4 | 75.2 | 87 | 286 |
25 | 运动训练 | 攀岩 | 不分 | 攀岩 | 1 | 1 | 85.78 | 98 | 343.5 |
26 | 运动训练 | 体操 | 不分 | 体操 | 7 | 7 | 75.29 | 92.8 | 206.5 |
27 | 运动训练 | 艺术体操 | 女 | 艺术体操 | 3 | 3 | 75.74 | 84.38 | 333.5 |
28 | 运动训练 | 技巧 | 不分 | 技巧 | 1 | 1 | 83.31 | 91.58 | 384 |
29 | 运动训练 | 柔道 | 不分 | 柔道 | 2 | 2 | 86.71 | 94.8 | 407 |
30 | 运动训练 | 跆拳道 | 不分 | 跆拳道 | 5 | 5 | 77.77 | 86.2 | 348.5 |
31 | 运动训练 | 拳击 | 不分 | 拳击 | 5 | 5 | 83.77 | 97.7 | 307.5 |
32 | 运动训练 | 击剑 | 不分 | 击剑 | 4 | 4 | 86.14 | 88.7 | 481 |
33 | 运动训练 | 自由式摔跤 | 不分 | 自由式摔跤 | 4 | 4 | 81.35 | 88.32 | 390.5 |
34 | 运动训练 | 古典式摔跤 | 男 | 古典式摔跤 | 4 | 4 | 73.34 | 79.88 | 348.5 |
35 | 武术与民族传统体育 | 武术套路 | 不分 | 武术套路 | 57 | 57 | 77.17 | 93.2 | 238.5 |
36 | 武术与民族传统体育 | 武术散打 | 不分 | 武术散打 | 12 | 12 | 73.28 | 86 | 261.5 |
37 | 武术与民族传统体育 | 中国式摔跤 | 不分 | 中国式摔跤 | 3 | 3 | 84.34 | 94.52 | 363.5 |
38 | 足球运动 | 足球 | 男 | 非守门员 | 20 | 20 | 83.04 | 90.8 | 389.5 |
39 | 足球运动 | 足球 | 男 | 守门员 | 2 | 2 | 82.04 | 88.8 | 397.5 |
40 | 足球运动 | 足球 | 女 | 非守门员 | 19 | 19 | 77.08 | 79.9 | 423 |
41 | 足球运动 | 足球 | 女 | 守门员 | 2 | 2 | 79.8 | 89.1 | 348.5 |
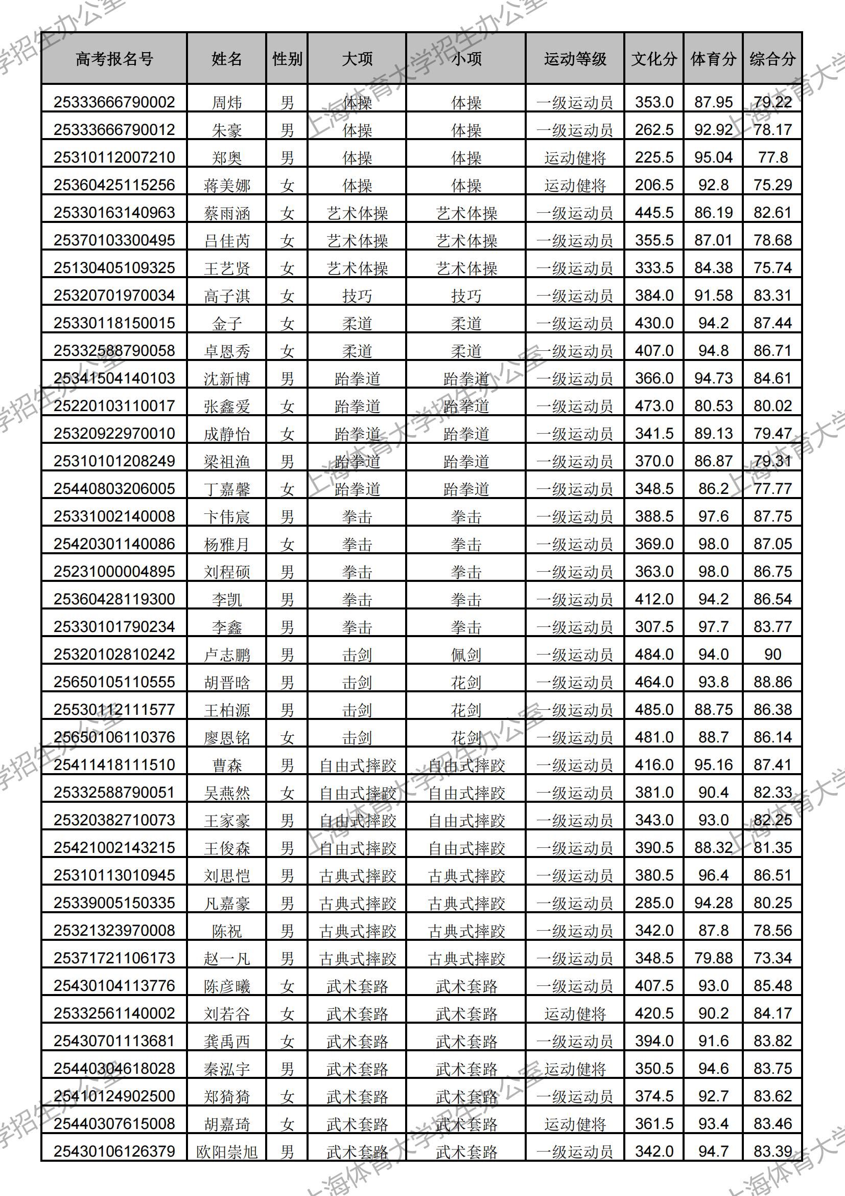
附件2:上海体育大学2025年体育单招一志愿拟录取名单








高招云直播