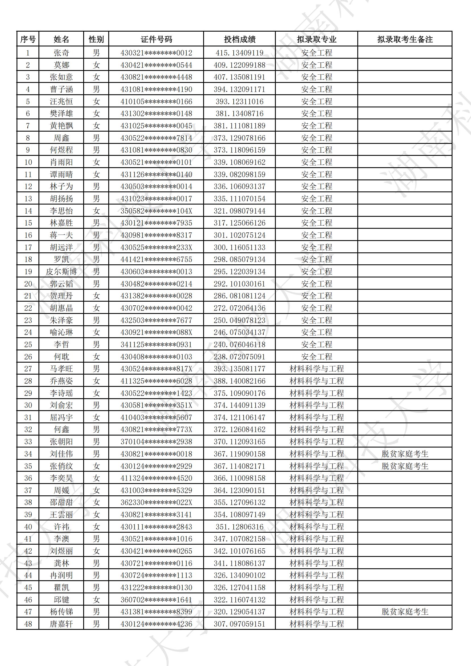
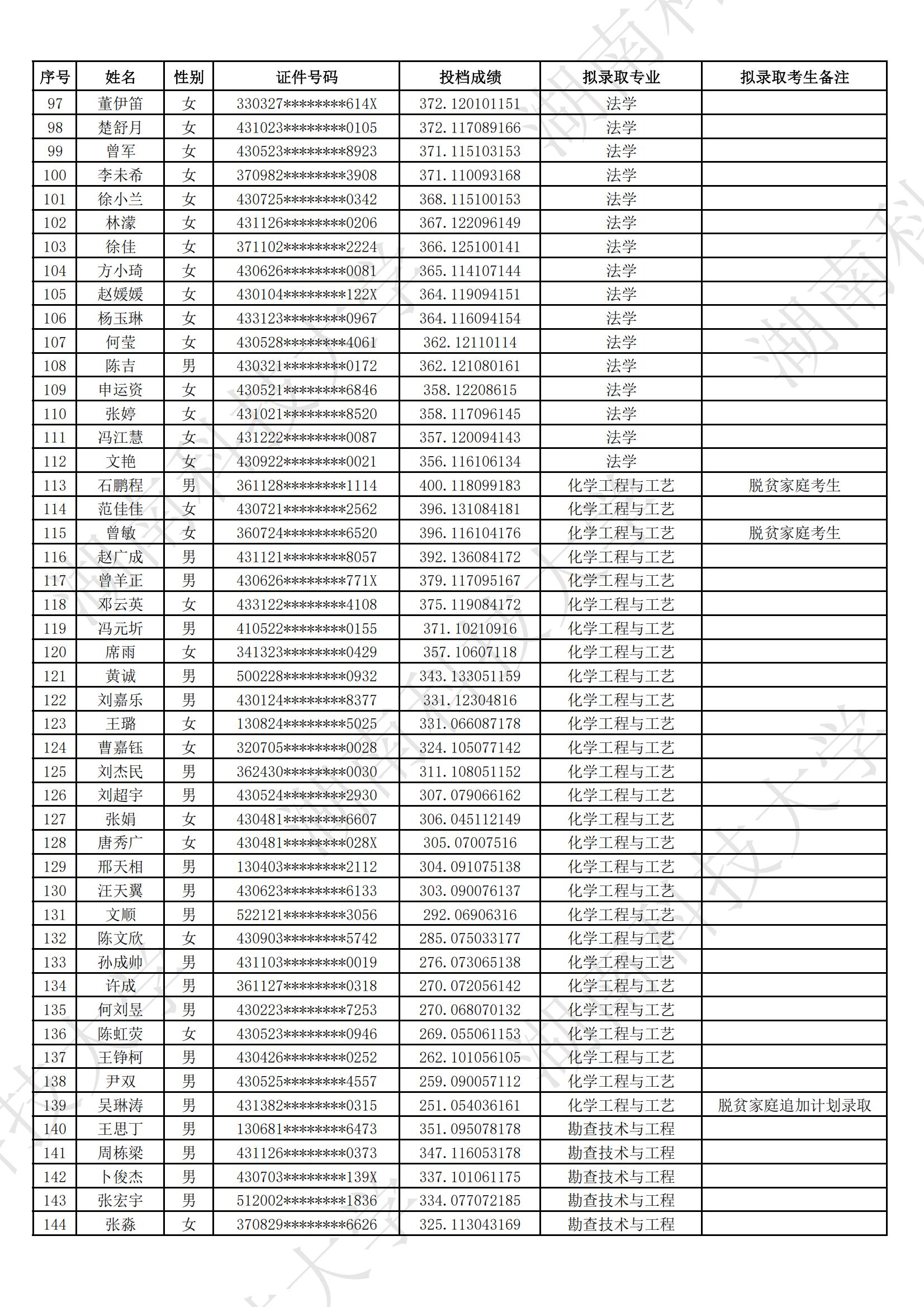
根据湖南省教育厅《关于做好2025年湖南省普通高等学校专升本考试招生工作的通知》(湘教发〔2024〕54号)和《湖南科技大学2025年专升本招生章程》相关规定,我校组织了2025年专升本普通类考生测试,并将拟录取结果上报湖南省教育考试院,经省教育考试院审核通过,现将专升本普通类考生拟录取名单予以公示。




公示日期:2025年5月27日-6月2日
招考办:0731-58290217
招生办:0731-58290670
纪委办:0731-58291312
如有异议,请在公示期内联系我校。
湖南科技大学招生办公室
2025年5月27日
高招云直播