
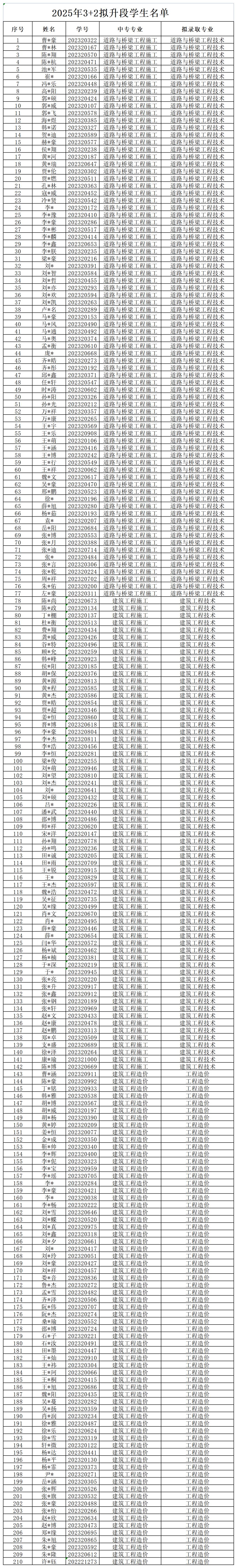
拟录取名单公示期:2026年3月10日-14日。公示期间,如对拟录取结果有异议,请拨打学院招生咨询电话: 0371-60868271/60868272。

拟录取名单公示期:2026年3月10日-14日。公示期间,如对拟录取结果有异议,请拨打学院招生咨询电话: 0371-60868271/60868272。
扫码下载APP
手机扫一扫下载APP