各位考生:
我校2026年退役大学生士兵免试专升本招生第一院校志愿填报文史类的考生人数少于专业招生计划数,考生无需参加综合
若名单有遗漏,请在2026年3月28日(周六)16:00前主动联系我校招生办,咨询电话:0580-2550022。
综合
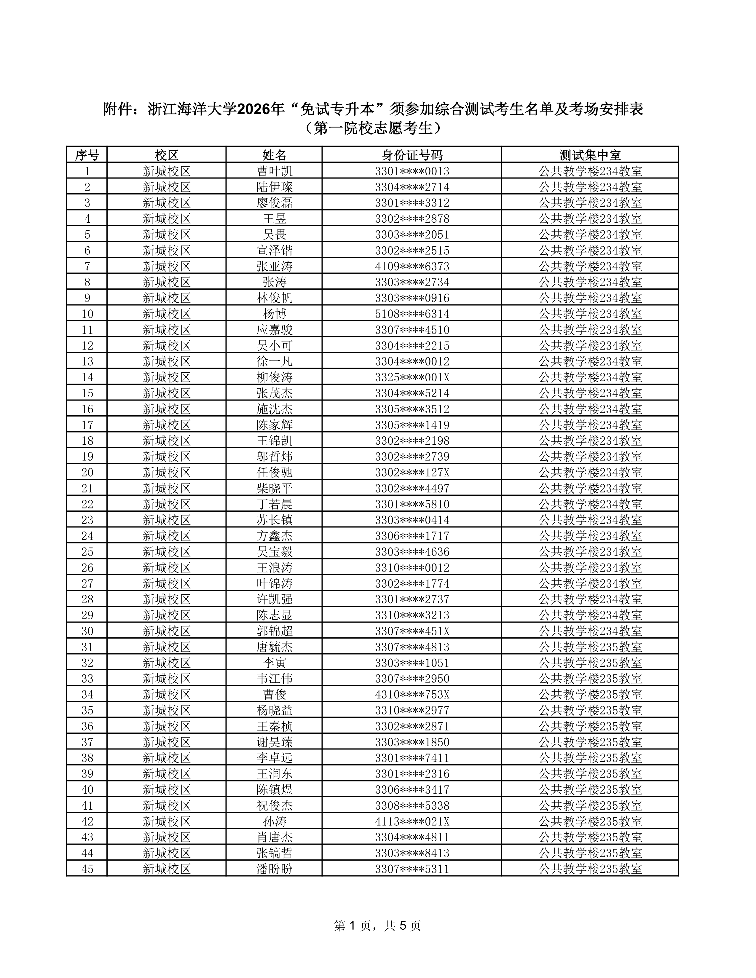
附件:
2026年3月27日
附件:





各位考生:
我校2026年退役大学生士兵免试专升本招生第一院校志愿填报文史类的考生人数少于专业招生计划数,考生无需参加综合
若名单有遗漏,请在2026年3月28日(周六)16:00前主动联系我校招生办,咨询电话:0580-2550022。
综合
附件:
2026年3月27日
附件:





扫码下载APP
手机扫一扫下载APP