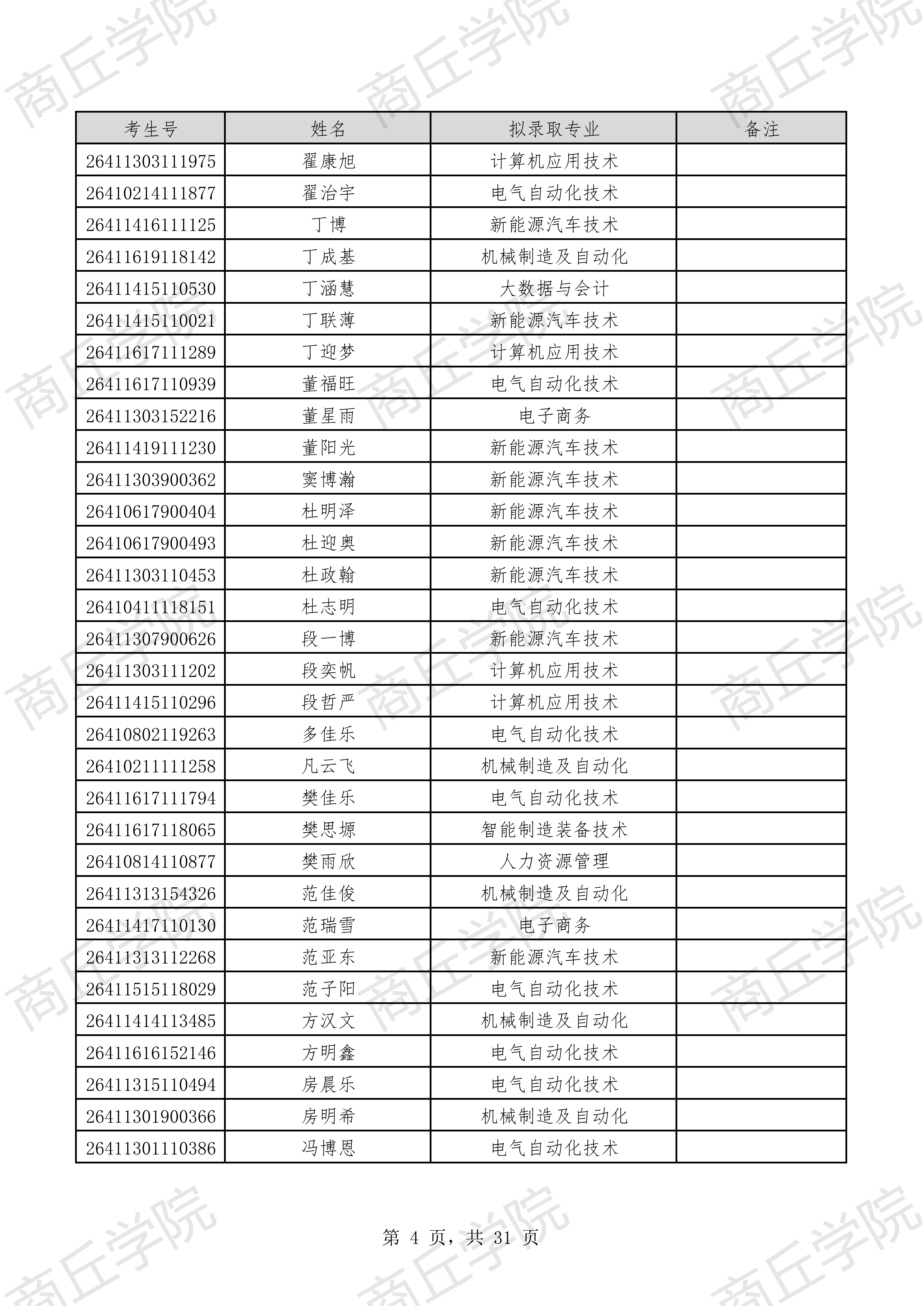
根据《河南省教育厅关于做好2026年高等职业教育单独考试招生和技能拔尖人才免试入学工作的通知》(教学〔2026〕34号)文件要求,经我校高职单招工作领导小组研究决定,现将我校2026年高职单招有关事项及拟录取名单公示如下:
1.公示期为2026年4月30日—2026年5月9日;
2.公示期结束后,拟录取名单将上报河南省教育考试院审核;
3.公示期间有异议者,请拨打0370-3167888。































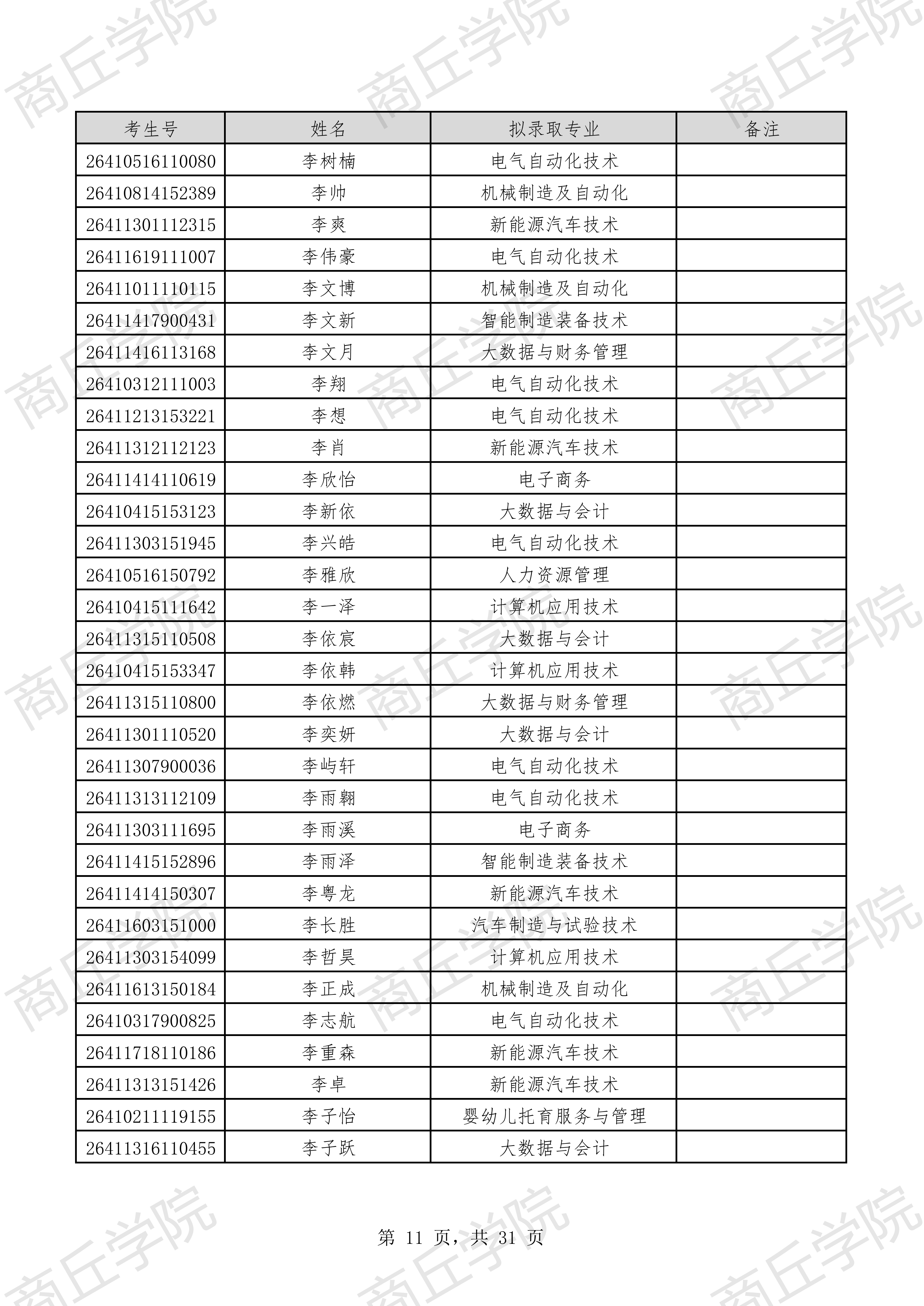
根据《河南省教育厅关于做好2026年高等职业教育单独考试招生和技能拔尖人才免试入学工作的通知》(教学〔2026〕34号)文件要求,经我校高职单招工作领导小组研究决定,现将我校2026年高职单招有关事项及拟录取名单公示如下:
1.公示期为2026年4月30日—2026年5月9日;
2.公示期结束后,拟录取名单将上报河南省教育考试院审核;
3.公示期间有异议者,请拨打0370-3167888。































扫码下载APP
手机扫一扫下载APP